×
Close
Login
Home
SCI Abstract
Library D
Community
Events
Events & Partner
WeMed
Media Partners
Educational Partner
User Tools
FAQ/USER GUIDE
Language
English
中文/ Chinese
Contact Us
×
Close
mdla_1
mdla_2
mdla_3
mdla_4
mdla_5
mdla_6
Categories
Oncology
48808
Global Medical University
4675
Allergy
1677
Anatomy & Morphology
1528
Andrology
379
Anesthesia & Intensive Care
1173
Anesthesiology
5066
Audiology & Speech-Language Pathology
318
Behavioral Sciences
102
Biochemical Research Methods
6560
Biochemistry & Molecular Biology
27990
Biodiversity Conservation
288
Biology
7862
Biophysics
7417
Biotechnology & Applied Microbiology
7840
Cardiac & Cardiovascular Systems
29030
Cardiovascular & Respiratory Systems
1307
Cell & Tissue Engineering
652
Cell Biology
10656
Chemistry, Analytical
4097
Chemistry, Applied
10107
Chemistry, Medicinal
8277
Chemistry, Multidisciplinary
17656
Clinical Immunology & Infectious Disease
364
Clinical Medicine
8626
Clinical Neurology
15323
Clinical Psychology & Psychiatry
1124
Critical Care Medicine
2892
Dentistry, Oral Surgery & Medicine
12558
Dermatology
7170
Developmental Biology
6575
Ecology
631
Education, Scientific Disciplines
1885
Emergency Medicine
3722
Endocrinology, Metabolism & Nutrition
22325
Engineering, Biomedical
3538
Entomology
427
Environmental Medicine & Public Health
4364
Evolutionary Biology
244
Gastroenterology & Hepatology
11160
General & Internal Medicine
6418
Genetics & Heredity
13913
Geriatrics & Gerontology
4670
Gerontology
338
Health Care Sciences & Services
14912
Health Policy & Services
612
Hematology
5259
Immunology
23089
Infectious Diseases
12947
Integrative & Complementary Medicine
2757
Medical Ethics
1141
Medical Informatics
2078
Medical Laboratory Technology
419
Medicine, General & Internal
41980
Medicine, Legal
457
Medicine, Research & Experimental
16521
Microbiology
21623
Mycology
0
Nanoscience & Nanotechnology
4893
Neuroimaging
1231
Neurology
4138
Neurosciences
36714
Nursing
9021
Nutrition & Dietetics
7477
Obstetrics & Gynecology
7657
Ophthalmology
8871
Optics
3913
Orthopedics
10855
Orthopedics, Rehabilitation & Sports Medicine
1622
Otolaryngology
1468
Otorhinolaryngology
4587
Parasitology
993
Pathology
4681
Pediatrics
19780
Peripheral Vascular Disease
4384
Pharmacology & Pharmacy
32444
Pharmacology/Toxicology
11301
Physiology
8273
Polymer Science
500
Primary Health Care
779
Psychiatry
17473
Psychology
4912
Psychology, Applied
95
Psychology, Biological
326
Psychology, Clinical
725
Psychology, Developmental
258
Psychology, Educational
137
Psychology, Experimental
140
Psychology, Mathematical
0
Psychology, Multidisciplinary
1575
Psychology, Psychoanalysis
30
Psychology, Social
112
Public Health & Health Care Science
2087
Public, Environmental & Occupational Health
25472
Quantum Science & Technology
0
Radiology, Nuclear Medicine & Imaging
11474
Radiology, Nuclear Medicine & Medical Imaging
7580
Rehabilitation
2852
Remote Sensing
0
Reproductive Biology
2552
Reproductive Medicine
1134
Research/Laboratory Medicine & Medical Technology
3684
Respiratory System
6793
Rheumatology
5447
Social Sciences, Biomedical
1120
Substance Abuse
2596
Surgery
30997
Toxicology
4140
Transplantation
939
Tropical Medicine
272
Urology & Nephrology
11856
Veterinary Sciences
35
Virology
2366
Zoology
0
Channels
INDIAN JOURNAL OF SURGICAL ONCOLOGY
499
Pathology Society Understanding disease
52
Asian Journal of Oncology
77
Medrxiv - Oncology
769
AMERICAN JOURNAL OF CLINICAL ONCOLOGY-CANCER CLINICAL TRIALS
197
BONE MARROW TRANSPLANTATION
737
BREAST CANCER RESEARCH
261
BREAST CANCER RESEARCH AND TREATMENT
672
BRITISH JOURNAL OF CANCER
920
CA-A CANCER JOURNAL FOR CLINICIANS
22
CANCER
419
CANCER AND METASTASIS REVIEWS
209
CANCER CELL INTERNATIONAL
857
CANCER DISCOVERY
156
CANCER MEDICINE
456
CANCER PREVENTION RESEARCH
62
CANCER RESEARCH
277
CANCER RESEARCH AND TREATMENT
20
CANCER SCIENCE
237
CANCERS
4428
CLINICAL CANCER RESEARCH
292
CLINICAL EPIGENETICS
409
CURRENT ONCOLOGY REPORTS
361
CURRENT OPINION IN ONCOLOGY
207
CURRENT TREATMENT OPTIONS IN ONCOLOGY
284
EXPERIMENTAL CELL RESEARCH
740
HEMATOLOGICAL ONCOLOGY
152
INTERNATIONAL JOURNAL OF CANCER
277
JOURNAL FOR IMMUNOTHERAPY OF CANCER
1225
JOURNAL OF CANCER
40
JOURNAL OF CANCER RESEARCH AND CLINICAL ONCOLOGY
848
JOURNAL OF CLINICAL ONCOLOGY
947
JOURNAL OF EXPERIMENTAL & CLINICAL CANCER RESEARCH
729
JOURNAL OF HEMATOLOGY & ONCOLOGY
354
JOURNAL OF NEURO-ONCOLOGY
674
JOURNAL OF PATHOLOGY
39
JOURNAL OF SURGICAL ONCOLOGY
240
LEUKEMIA
695
LIVER CANCER
122
MEDICAL ONCOLOGY
327
MOLECULAR CANCER
426
MOLECULAR CANCER THERAPEUTICS
157
MOLECULAR ONCOLOGY
201
NATURE REVIEWS CANCER
286
NATURE REVIEWS CLINICAL ONCOLOGY
300
NEOPLASIA
276
ONCOGENE
902
ONCOGENESIS
167
ONCOLOGIST
204
ONCOLOGY-NEW YORK
69
ONCOTARGETS AND THERAPY
554
PSYCHO-ONCOLOGY
158
SURGICAL ONCOLOGY-OXFORD
319
THERAPEUTIC ADVANCES IN MEDICAL ONCOLOGY
86
ASIA-PACIFIC JOURNAL OF CLINICAL ONCOLOGY
150
BMC CANCER
1760
CANCER EPIDEMIOLOGY
407
CANCER GENETICS
31
CANCER MANAGEMENT AND RESEARCH
952
CURRENT ONCOLOGY
803
FRONTIERS IN ONCOLOGY
9171
FUTURE ONCOLOGY
91
GENES CHROMOSOMES & CANCER
50
HEREDITARY CANCER IN CLINICAL PRACTICE
89
INFECTIOUS AGENTS AND CANCER
163
INTEGRATIVE CANCER THERAPIES
69
INTERNATIONAL JOURNAL OF GYNECOLOGICAL CANCER
576
JOURNAL OF BUON
21
JOURNAL OF CANCER RESEARCH AND THERAPEUTICS
274
JOURNAL OF HEPATOCELLULAR CARCINOMA
355
ONCOLOGY
84
ONCOLOGY RESEARCH AND TREATMENT
151
PEDIATRIC BLOOD & CANCER
403
SEMINARS IN ONCOLOGY NURSING
271
TECHNOLOGY IN CANCER RESEARCH & TREATMENT
204
THORACIC CANCER
271
TUMORI J
67
INDIAN JOURNAL OF CANCER
122
JOURNAL OF ONCOLOGY PRACTICE
410
PHOTODIAGNOSIS AND PHOTODYNAMIC THERAPY
854
RADIATION ONCOLOGY
474
WORLD CANCER RESEARCH JOURNAL
140
SOUTH ASIAN JOURNAL OF CANCER
261
BREAST CANCER-BASIC AND CLINICAL RESEARCH
19
CANCER REPORTS
164
CASE REPORTS IN ONCOLOGY
323
CLINICAL CANCER INVESTIGATION JOURNAL
10
CURRENT BREAST CANCER REPORTS
102
CURRENT CANCER THERAPY REVIEWS
16
CURRENT COLORECTAL CANCER REPORTS
40
INTERNATIONAL CANCER CONFERENCE JOURNAL
171
INTERNATIONAL JOURNAL OF SURGERY-ONCOLOGY
15
JMIR CANCER
201
JOURNAL OF GASTROINTESTINAL CANCER
337
JOURNAL OF KIDNEY CANCER AND VHL
83
JOURNAL OF THE EGYPTIAN NATIONAL CANCER INSTITUTE
121
RARE TUMORS
20
REHABILITATION ONCOLOGY
88
MEMO-MAGAZINE OF EUROPEAN MEDICAL ONCOLOGY
223
MIDDLE EAST JOURNAL OF CANCER
185
NATURE CANCER
396
ONCOLOGY AND THERAPY
125
ONCOLOGY REVIEWS
17
ONKOLOGIJA
39
HORMONES & CANCER / DISCOVER ONCOLOGY
184
FAMILIAL CANCER
147
INTERNATIONAL JOURNAL OF CLINICAL ONCOLOGY
481
JOURNAL OF MAMMARY GLAND BIOLOGY AND NEOPLASIA
100
MEDICAL ONCOLOGY
389
PATHOLOGY & ONCOLOGY RESEARCH
40
PSYCHO-ONCOLOGIE
20
STRAHLENTHERAPIE UND ONKOLOGIE
396
SUPPORTIVE CARE IN CANCER
1045
TARGETED ONCOLOGY
244
SCI Abstract
search
ALL
RECOMMENDED
+
A Structured Clinical Pathway Derived from Surgical Audit of VATS (Video Assisted Thoracoscopic Surgery) Lung Nodule Localization and Resections in Thoracic Oncology
Lung nodules are commonly encountered in oncology practice, particularly in patients with solid organ tumors. Video-assist...
Indian Journal Of Surgical Oncology
comment
0
thumb_up
0
Factors Influencing Outcomes following Day-Care Mastectomies being Performed for Breast Cancer in a Single Centre in South India
Day-care surgeries aim to optimize healthcare delivery by reducing hospital stays, costs, and improving patient recovery. ...
Indian Journal Of Surgical Oncology
comment
0
thumb_up
0
Assessment of the Value of Sentinel Lymph Node in Stomach Cancer Patients Using Blue Dye in Suez Canal University Hospital
Lymph node metastases is the principal predictive determinant following curative resection in gastric carcinoma. The incor...
Indian Journal Of Surgical Oncology
comment
0
thumb_up
0
Unveiling the Role of Epithelial-Mesenchymal Transition Markers in Oral Squamous Cell Carcinoma: An Observational Study
Epithelial-mesenchymal transition (EMT) has evolved as a possible pathway in the pathophysiology of tumor formation and pr...
Indian Journal Of Surgical Oncology
comment
0
thumb_up
0
Acute Esophageal Necrosis Associated with Esophageal Adenocarcinoma
Informed Consent Written informed consent for patient information a...
Indian Journal Of Surgical Oncology
comment
0
thumb_up
0
Breast Cancer Landscape In Eastern India: An Institutional Audit of Clinicopathology And Survival Metrics
Breast cancer has surpassed lung cancer as the most diagnosed cancer globally. This retrospective audit, conducted in East...
Indian Journal Of Surgical Oncology
comment
0
thumb_up
0
Outcomes of Surgical Management of Retroperitoneal Paragangliomas: A Single Centre Experience
Retroperitoneal paragangliomas (RP-PGLs) are rare extra-adrenal neuroendocrine tumors representing ~ 1–3...
Indian Journal Of Surgical Oncology
comment
0
thumb_up
0
Predictive Factors for Central Neck Metastasis in cT1N0M0 Papillary Thyroid Cancer Patients Undergoing Transoral Endoscopic Thyroidectomy (TOETVA): A Propensity Score Matched Study
Selecting patients with cT1N0M0 papillary thyroid carcinoma (PTC) for prophylactic central neck dissection (pCND) remains ...
Indian Journal Of Surgical Oncology
comment
0
thumb_up
0
A Single-Centre, Single-Blinded Randomized Control Trial Evaluating the Role of Distraction Therapy in Pain Management Following Major Abdominal Surgeries in Adult Cancer Patients
In the post-operative period, analgesics are complemented with non-pharmacological methods (NPM). However, the evidence is...
Indian Journal Of Surgical Oncology
comment
0
thumb_up
0
Neoadjuvant Bi-Directional Chemotherapy with PIPAC and Systemic Chemotherapy in Advanced Epithelial Ovarian Cancer: An Emerging Conversion Strategy for Initially Unresectable Peritoneal Disease
A subset of patients with advanced epithelial ovarian cancer remains unresectable despite standard neoadjuvant chemotherap...
Indian Journal Of Surgical Oncology
comment
0
thumb_up
0
Evaluation of p16, HPV E6, and EBV LMP1 Expression in Oral Squamous Cell Carcinoma using Immunohistochemistry to Detect Co-viral Infections
Oral squamous cell carcinoma (OSCC) is a significant global health burden, with increasing evidence implicating high-risk ...
Indian Journal Of Surgical Oncology
comment
0
thumb_up
0
Three-Dimensional Reconstruction of the Sternum: a Novel Approach for Improved Surgical Oncology Outcomes
Sternum plays a crucial role in chest stability and protection of vital organs. Sternal defects after major oncological re...
Indian Journal Of Surgical Oncology
comment
0
thumb_up
0
Real-world Compliance to Trimodality Therapy and its Effect on Survival in Esophageal Squamous Cell Carcinoma: Insights from a High-burden Region
Trimodality treatment (neoadjuvant chemoradiotherapy followed by surgery) improves survival in esophageal squamous cell ca...
Indian Journal Of Surgical Oncology
comment
0
thumb_up
0
Mammographic Breast Density Patterns and Tumor Characteristics in Indian Women with Breast Cancer: A Retrospective Observational Study
Mammographic breast density (MBD) is a well-established risk factor for breast cancer and may also reflect underlying tumo...
Indian Journal Of Surgical Oncology
comment
0
thumb_up
0
Outcomes of Pelvic Exenteration for Recurrent or Persistent Cervical Cancer: Revisiting Curative approach in the Era of Advancing Palliative Options
This study aimed to evaluate the outcomes of pelvic exenteration (PE) in patients with recurrent or persistent cervical ca...
Indian Journal Of Surgical Oncology
comment
0
thumb_up
0
Intraoperative Stenting of Hepatic Ducts to Aid Dissection in an 8-Month-Old Child with Large Hepatoblastoma and Severe Porta Distortion
The distorted anatomy of the porta hepatis can significantly complicate the process of portal dissection. In cases of larg...
Indian Journal Of Surgical Oncology
comment
0
thumb_up
0
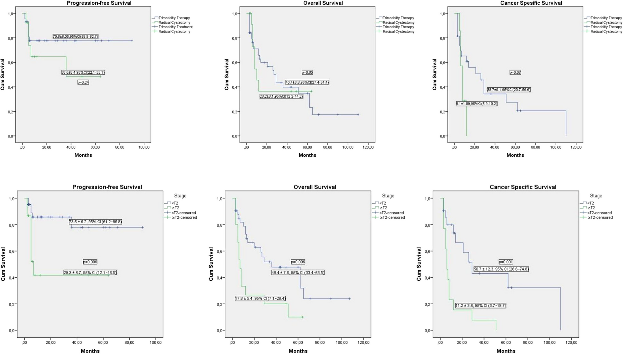
Comparative Analysis of Oncological Outcomes between Trimodal Therapy and Radical Cystectomy in Patients with Variant Bladder Cancer
The aim of this study was to assess whether trimodal therapy (TMT) and radical cystectomy (RC) differ in terms of progress...
Indian Journal Of Surgical Oncology
comment
0
thumb_up
0
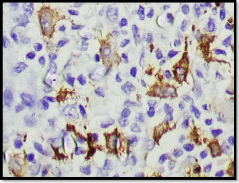
Immunohistochemical Study of Tumour-Associated Macrophages Using CD68 and CD163 in Oral Squamous Cell Carcinoma
Oral squamous cell carcinoma (OSCC) is one of the most prevalent cancers in India. Significant research over the last 10&a...
Indian Journal Of Surgical Oncology
comment
0
thumb_up
0
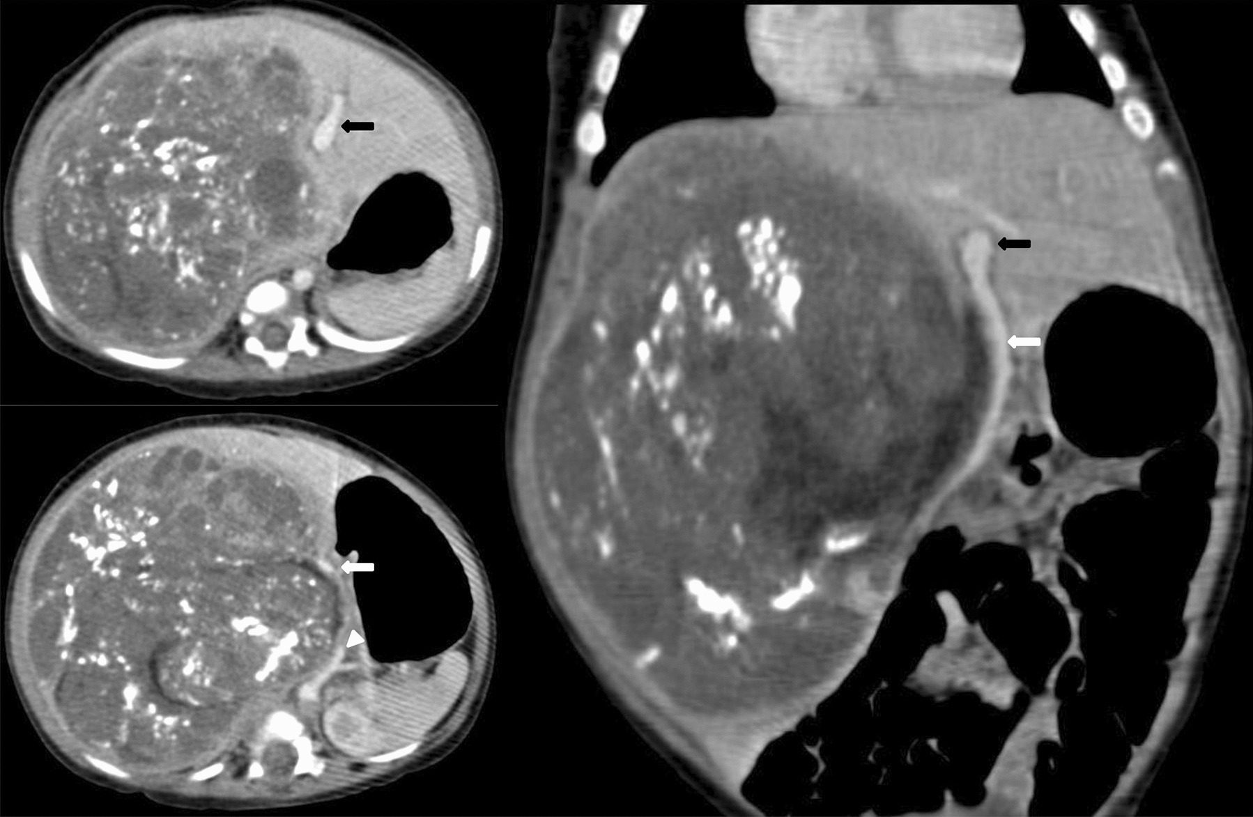
Multiparametric MRI Radiomics for the Prediction of Histologic Grade in Bladder Cancer
Histological grade holds great clinical significance in the management and prognosis of bladder cancer; therefore, timely ...
Indian Journal Of Surgical Oncology
comment
0
thumb_up
0
Unravelling Preoperative and Intraoperative Parathyroid Adenoma Localization (PIPAL Study)—From a high-volume tertiary care centre in India
To describe the clinical profile of patients with parathyroid adenoma and evaluate various diagnostic and localization met...
Indian Journal Of Surgical Oncology
comment
0
thumb_up
0
Rare and common Pediatric ovarian neoplasms: A comprehensive study of tumour types and features
Pediatric ovarian neoplasms (PONs) are rare and diagnostically challenging due to nonspecific symptoms and diverse present...
Indian Journal Of Surgical Oncology
comment
0
thumb_up
0
miR-221/222, miR-224, and miR-339 are Overexpressed as Potential Biomarkers in Follicular Thyroid Neoplasms
Follicular thyroid carcinoma (FTC) makes up about 10% of all thyroid cancers and remains a diagnostic challenge due to its...
Indian Journal Of Surgical Oncology
comment
0
thumb_up
0
Acral Melanoma Prognosis: The Role of Neutrophil–Lymphocyte Ratio, Platelet-Lymphocyte Ratio, and Neutrophil Count
To assess the prognostic significance of NLR, PLR, and ANC in predicting 5-year overall survival (OS) in acral melanoma (A...
Indian Journal Of Surgical Oncology
comment
0
thumb_up
0
Migration of Preoperative Breast Localization Wire: A Case Report
In this case report, we present a rare occurrence of wire migration to the pectoralis muscle in the axillary region. A 49-...
Indian Journal Of Surgical Oncology
comment
0
thumb_up
0
Total Neo-adjuvant Therapy [TNT] with Short Course Radiotherapy [SCRT] Followed by Total Mesorectal Excision [TME]– in Locally Advanced Rectal Cancer [LARC]: a Prospective Observational Study in an Indian Population
Recently, TNT comprising CRT with complete chemotherapy before surgery is being widely practiced to improve treatment outc...
Indian Journal Of Surgical Oncology
comment
0
thumb_up
0
Remission Outcomes Following Hysterectomy in Gestational Trophoblastic Neoplasia: A Systematic Review and Meta-Analysis
Gestational trophoblastic disease (GTD) includes premalignant and malignant entities such as choriocarcinoma and invasive ...
Indian Journal Of Surgical Oncology
comment
0
thumb_up
0
Primary Chondrosarcoma of the Breast: A Diagnostic and Histopathologic Challenge
Errarhay S, Fetohi M, Mahmoud S, Saadi H, Bouchikhi C, Banani A (2013) Primary chondrosarcoma of the breast: a case presen...
Indian Journal Of Surgical Oncology
comment
0
thumb_up
0
Robotic Hepatic Artery Infusion (HAI) Port Placement for Liver-Directed Intra-Arterial Chemotherapy: Initial Experience from a Tertiary Care Indian Cancer Center
Colorectal liver metastases (CRLM) and intrahepatic cholangiocarcinoma (iCCA) often present challenges due to extensive li...
Indian Journal Of Surgical Oncology
comment
0
thumb_up
0
Minimally Invasive Versus Open Esophagectomy for Malignancy: Pathological and Long-Term Oncological Outcomes
Minimally invasive esophagectomy is gaining popularity. Comparative outcomes from open vs minimally invasive esophagectomy...
Indian Journal Of Surgical Oncology
comment
0
thumb_up
0
Vascular Resections with PancreaticoduoDenectomy for Pancreatic and Non-pancreatic Periampullary Cancers
While outcomes following pancreaticoduodenectomy (PD) have generally improved, the results of PD with vascular resection (...
Indian Journal Of Surgical Oncology
comment
0
thumb_up
0
Load More
Modal title
×
Modal title
×
Share
Login
Global News and Health Forum
Join Now!
Member Login
Remember me
Forgot password?
Or using
Linkedin