×
Close
Login
Home
SCI Abstract
Library D
Events & Partner
WeMed
MDLA Events Platform
Events
Media Partners
Educational Partner
User Tools
FAQ/USER GUIDE
Language
English
中文/ Chinese
French
Português
Español
Arabic
Russian
Contact Us
×
Close
mdla_1
mdla_2
mdla_3
mdla_4
mdla_5
mdla_6
Categories
Oncology
50751
Global Medical University
4983
Allergy
1699
Anatomy & Morphology
1528
Andrology
379
Anesthesia & Intensive Care
1224
Anesthesiology
5240
Audiology & Speech-Language Pathology
311
Behavioral Sciences
104
Biochemical Research Methods
6740
Biochemistry & Molecular Biology
28859
Biodiversity Conservation
294
Biology
8107
Biophysics
7956
Biotechnology & Applied Microbiology
8053
Cardiac & Cardiovascular Systems
30112
Cardiovascular & Respiratory Systems
1348
Cell & Tissue Engineering
664
Cell Biology
10762
Chemistry, Analytical
4154
Chemistry, Applied
10754
Chemistry, Medicinal
8448
Chemistry, Multidisciplinary
18249
Clinical Immunology & Infectious Disease
397
Clinical Medicine
8736
Clinical Neurology
15936
Clinical Psychology & Psychiatry
1251
Critical Care Medicine
3057
Dentistry, Oral Surgery & Medicine
12739
Dermatology
7353
Developmental Biology
6790
Ecology
631
Education, Scientific Disciplines
1919
Emergency Medicine
3858
Endocrinology, Metabolism & Nutrition
23207
Engineering, Biomedical
3585
Entomology
445
Environmental Medicine & Public Health
4578
Evolutionary Biology
252
Gastroenterology & Hepatology
11541
General & Internal Medicine
6783
Genetics & Heredity
14556
Geriatrics & Gerontology
4845
Gerontology
338
Health Care Sciences & Services
15479
Health Policy & Services
613
Hematology
5371
Immunology
24181
Infectious Diseases
13438
Integrative & Complementary Medicine
2805
Medical Ethics
1194
Medical Informatics
2139
Medical Laboratory Technology
419
Medicine, General & Internal
43503
Medicine, Legal
485
Medicine, Research & Experimental
17190
Microbiology
22533
Mycology
0
Nanoscience & Nanotechnology
5019
Neuroimaging
1248
Neurology
4363
Neurosciences
38345
Nursing
9258
Nutrition & Dietetics
7660
Obstetrics & Gynecology
7932
Ophthalmology
9334
Optics
4072
Orthopedics
11209
Orthopedics, Rehabilitation & Sports Medicine
1702
Otolaryngology
1490
Otorhinolaryngology
4683
Parasitology
1066
Pathology
4781
Pediatrics
20799
Peripheral Vascular Disease
4510
Pharmacology & Pharmacy
33681
Pharmacology/Toxicology
11854
Physiology
8669
Polymer Science
511
Primary Health Care
791
Psychiatry
18467
Psychology
5005
Psychology, Applied
92
Psychology, Biological
329
Psychology, Clinical
786
Psychology, Developmental
228
Psychology, Educational
143
Psychology, Experimental
133
Psychology, Mathematical
0
Psychology, Multidisciplinary
1576
Psychology, Psychoanalysis
30
Psychology, Social
112
Public Health & Health Care Science
2167
Public, Environmental & Occupational Health
26484
Quantum Science & Technology
0
Radiology, Nuclear Medicine & Imaging
11918
Radiology, Nuclear Medicine & Medical Imaging
7746
Rehabilitation
2873
Remote Sensing
0
Reproductive Biology
2697
Reproductive Medicine
1178
Research/Laboratory Medicine & Medical Technology
3841
Respiratory System
6995
Rheumatology
5660
Social Sciences, Biomedical
1150
Substance Abuse
2647
Surgery
32537
Toxicology
4177
Transplantation
931
Tropical Medicine
300
Urology & Nephrology
12420
Veterinary Sciences
35
Virology
2369
Zoology
0
Channels
BMC CANCER
1857
Pathology Society Understanding disease
52
Asian Journal of Oncology
77
Medrxiv - Oncology
838
AMERICAN JOURNAL OF CLINICAL ONCOLOGY-CANCER CLINICAL TRIALS
210
BONE MARROW TRANSPLANTATION
761
BREAST CANCER RESEARCH
281
BREAST CANCER RESEARCH AND TREATMENT
704
BRITISH JOURNAL OF CANCER
981
CA-A CANCER JOURNAL FOR CLINICIANS
22
CANCER
419
CANCER AND METASTASIS REVIEWS
206
CANCER CELL INTERNATIONAL
892
CANCER DISCOVERY
156
CANCER MEDICINE
456
CANCER PREVENTION RESEARCH
62
CANCER RESEARCH
277
CANCER RESEARCH AND TREATMENT
20
CANCER SCIENCE
237
CANCERS
4428
CLINICAL CANCER RESEARCH
292
CLINICAL EPIGENETICS
435
CURRENT ONCOLOGY REPORTS
395
CURRENT OPINION IN ONCOLOGY
215
CURRENT TREATMENT OPTIONS IN ONCOLOGY
294
EXPERIMENTAL CELL RESEARCH
762
HEMATOLOGICAL ONCOLOGY
152
INTERNATIONAL JOURNAL OF CANCER
277
JOURNAL FOR IMMUNOTHERAPY OF CANCER
1324
JOURNAL OF CANCER
40
JOURNAL OF CANCER RESEARCH AND CLINICAL ONCOLOGY
957
JOURNAL OF CLINICAL ONCOLOGY
958
JOURNAL OF EXPERIMENTAL & CLINICAL CANCER RESEARCH
763
JOURNAL OF HEMATOLOGY & ONCOLOGY
372
JOURNAL OF NEURO-ONCOLOGY
705
JOURNAL OF PATHOLOGY
39
JOURNAL OF SURGICAL ONCOLOGY
240
LEUKEMIA
740
LIVER CANCER
132
MEDICAL ONCOLOGY
345
MOLECULAR CANCER
459
MOLECULAR CANCER THERAPEUTICS
157
MOLECULAR ONCOLOGY
201
NATURE REVIEWS CANCER
290
NATURE REVIEWS CLINICAL ONCOLOGY
313
NEOPLASIA
281
ONCOGENE
956
ONCOGENESIS
173
ONCOLOGIST
204
ONCOLOGY-NEW YORK
72
ONCOTARGETS AND THERAPY
550
PSYCHO-ONCOLOGY
158
SURGICAL ONCOLOGY-OXFORD
315
THERAPEUTIC ADVANCES IN MEDICAL ONCOLOGY
86
ASIA-PACIFIC JOURNAL OF CLINICAL ONCOLOGY
150
CANCER EPIDEMIOLOGY
401
CANCER GENETICS
31
CANCER MANAGEMENT AND RESEARCH
949
CURRENT ONCOLOGY
803
FRONTIERS IN ONCOLOGY
9916
FUTURE ONCOLOGY
91
GENES CHROMOSOMES & CANCER
50
HEREDITARY CANCER IN CLINICAL PRACTICE
92
INFECTIOUS AGENTS AND CANCER
178
INTEGRATIVE CANCER THERAPIES
69
INTERNATIONAL JOURNAL OF GYNECOLOGICAL CANCER
609
JOURNAL OF BUON
21
JOURNAL OF CANCER RESEARCH AND THERAPEUTICS
274
JOURNAL OF HEPATOCELLULAR CARCINOMA
361
ONCOLOGY
90
ONCOLOGY RESEARCH AND TREATMENT
162
PEDIATRIC BLOOD & CANCER
403
SEMINARS IN ONCOLOGY NURSING
260
TECHNOLOGY IN CANCER RESEARCH & TREATMENT
204
THORACIC CANCER
271
TUMORI J
67
INDIAN JOURNAL OF CANCER
122
JOURNAL OF ONCOLOGY PRACTICE
411
PHOTODIAGNOSIS AND PHOTODYNAMIC THERAPY
903
RADIATION ONCOLOGY
503
WORLD CANCER RESEARCH JOURNAL
138
SOUTH ASIAN JOURNAL OF CANCER
289
BREAST CANCER-BASIC AND CLINICAL RESEARCH
19
CANCER REPORTS
164
CASE REPORTS IN ONCOLOGY
345
CLINICAL CANCER INVESTIGATION JOURNAL
10
CURRENT BREAST CANCER REPORTS
101
CURRENT CANCER THERAPY REVIEWS
16
CURRENT COLORECTAL CANCER REPORTS
28
INDIAN JOURNAL OF SURGICAL ONCOLOGY
522
INTERNATIONAL CANCER CONFERENCE JOURNAL
158
INTERNATIONAL JOURNAL OF SURGERY-ONCOLOGY
15
JMIR CANCER
198
JOURNAL OF GASTROINTESTINAL CANCER
351
JOURNAL OF KIDNEY CANCER AND VHL
80
JOURNAL OF THE EGYPTIAN NATIONAL CANCER INSTITUTE
126
RARE TUMORS
20
REHABILITATION ONCOLOGY
88
MEMO-MAGAZINE OF EUROPEAN MEDICAL ONCOLOGY
230
MIDDLE EAST JOURNAL OF CANCER
185
NATURE CANCER
417
ONCOLOGY AND THERAPY
119
ONCOLOGY REVIEWS
17
ONKOLOGIJA
39
HORMONES & CANCER / DISCOVER ONCOLOGY
200
FAMILIAL CANCER
139
INTERNATIONAL JOURNAL OF CLINICAL ONCOLOGY
490
JOURNAL OF MAMMARY GLAND BIOLOGY AND NEOPLASIA
93
MEDICAL ONCOLOGY
375
PATHOLOGY & ONCOLOGY RESEARCH
21
PSYCHO-ONCOLOGIE
20
STRAHLENTHERAPIE UND ONKOLOGIE
405
SUPPORTIVE CARE IN CANCER
1117
TARGETED ONCOLOGY
238
SCI Abstract
search
ALL
RECOMMENDED
+
KRAS mutation promotes immune escape of lung adenocarcinoma via ZNF24/SLC7A5/PD-L1 axis
The imbalance of immune checkpoint molecules leads to immune escape of tumor cells. It has been established that KRAS muta...
Bmc Cancer
comment
0
thumb_up
0
Prognostic value of risk factors in cervical squamous cell carcinoma based on tumour infiltration depth
To evaluate whether the prognostic significance of distinct risk factors differs according to tumour infiltration depth in...
Bmc Cancer
comment
0
thumb_up
0
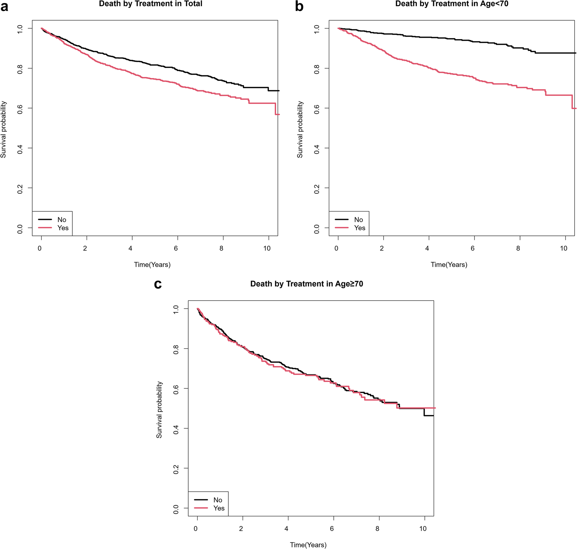
Overall survival following radical surgery and postoperative chemotherapy in colorectal cancer patients aged ≥ 70 years: a population-based retrospective cohort study
Colorectal cancer (CRC) predominantly affects the elderly, with a growing demand for evidence-based treatment strategies i...
Bmc Cancer
comment
0
thumb_up
0
CARBOMETASPINE: protocol for a multicenter, prospective, randomized controlled trial of carbonfiber spinal fixation in metastatic disease
Spinal metastases frequently cause neurological compromise and mechanical instability. Titanium fixation limits postoperat...
Bmc Cancer
comment
0
thumb_up
0
A phase II trial of hepatic ablation of metastases to modulate and enhance immunotherapy response in non-small cell lung cancer (HAMMER-NSCLC)
Anti-programmed cell death protein 1/programmed death-ligand 1 (anti-PD-[L]1) immunotherapy promotes systemic anti-tumor i...
Bmc Cancer
comment
0
thumb_up
0
TGF-β signaling orchestrates cancer-associated fibroblasts in the tumor microenvironment of human hepatocellular carcinoma: unveiling insights and clinical significance
Liver cancer, specifically hepatocellular carcinoma (HCC), stands out as one of the most formidable solid tumors, characte...
Bmc Cancer
comment
0
thumb_up
0
Resolution of oncogene-induced senescence markers in HPV-infected cervical cancer tissue
Oncogene-Induced Senescence (OIS) is a form of senescence that occurs as a consequence of oncogenic overstimulation and po...
Bmc Cancer
comment
0
thumb_up
0
A new prognostic model for predicting overall survival and progression-free survival in unresectable hepatocellular carcinoma treated with the FOLFOX-HAIC regimen based on patient clinical characteristics and blood biomarkers
We developed a prognostic model to evaluate the overall survival (OS) and progression-free survival (PFS) of patients with...
Bmc Cancer
comment
0
thumb_up
0
Gross recurrent laryngeal nerve invasion by extranodal extension in thyroid carcinoma
Lymphatic metastasis commonly occurs in patients with papillary thyroid carcinoma and medullary thyroid carcinoma. The cli...
Bmc Cancer
comment
0
thumb_up
0
3D synergistic tumor-liver analysis further improves the efficacy prediction in hepatocellular carcinoma: a multi-center study
Besides tumorous information, synergistic liver parenchyma assessments may provide additional insights into the prognosis ...
Bmc Cancer
comment
0
thumb_up
0
Nomogram incorporating Epstein-Barr virus DNA and a novel immune-nutritional marker for survival prediction in nasopharyngeal carcinoma
Since Immune response, nutritional status and Epstein–Barr Virus (EBV) DNA status have been confirmed to be relevant...
Bmc Cancer
comment
0
thumb_up
0
CD147 promotes breast cancer migration and invasion by inducing epithelial-mesenchymal transition via the MAPK/ERK signaling pathway
CD147, a transmembrane glycoprotein, has been implicated in various cancer-related processes but its role in breast cancer...
Bmc Cancer
comment
0
thumb_up
0
Impact of perioperative decreased serum albumin level on anastomotic leakage in esophageal squamous cell carcinoma patients treated with neoadjuvant chemotherapy followed by minimally invasive esophagectomy
Anastomotic leakage (AL) is a severe complication following esophagectomy with high mortality. Perioperative decreased ser...
Bmc Cancer
comment
0
thumb_up
0
Multidimensional analysis to elucidate the possible mechanism of bone metastasis in breast cancer
Breast cancer (BC) patients tend to suffer from distant metastasis, especially bone metastasis. All the analysis based on ...
Bmc Cancer
comment
0
thumb_up
0
Immediate histologic correlation in patients with different HPV genotypes and ages: a single center analysis in China
Human papillomavirus (HPV) has been confirmed as a major causative factor for malignant transformation of cervical epithel...
Bmc Cancer
comment
0
thumb_up
0
Dynamic profiling of immune microenvironment during anti-PD-1 immunotherapy for head and neck squamous cell carcinoma: the IPRICE study
Immune checkpoint inhibitors of programmed cell death protein 1 (PD-1) represent a significant breakthrough in treating he...
Bmc Cancer
comment
0
thumb_up
0
Phase I dose escalation study and pilot efficacy analysis of LXI-15029, a novel mTOR dual inhibitor, in Chinese subjects with advanced malignant solid tumors
The mammalian target of rapamycin (mTOR) kinase, a central component of the PI3K/AKT/mTOR pathway, plays a critical role i...
Bmc Cancer
comment
0
thumb_up
0
A population-based analysis of hematological malignancies from a French-West-Indies cancer registry’s data (2009–2018)
A worldwide increased incidence of HM has been marked in recent decades. Therefore, to update epidemiological characterist...
Bmc Cancer
comment
0
thumb_up
0
Cancer-associated fibroblasts induce sorafenib resistance of hepatocellular carcinoma cells through CXCL12/FOLR1
Due to the high drug resistance of hepatocellular carcinoma (HCC), sorafenib has limited efficacy in the treatment of adva...
Bmc Cancer
comment
0
thumb_up
0
Significance of circulating tumor cells detection in tumor diagnosis and monitoring
To detect circulating tumor cells (CTCs) in the peripheral blood of patients with tumor, and to analyze the significance o...
Bmc Cancer
comment
0
thumb_up
0
A novel patient-derived immortalised cell line of myxofibrosarcoma: a tool for preclinical drugs testing and the generation of near-patient models
Myxofibrosarcoma is a rare malignant soft tissue sarcoma characterised by multiple local recurrence and can become of high...
Bmc Cancer
comment
0
thumb_up
0
A practical prognostic peripheral blood-based risk model for the evaluation of the likelihood of a response and survival of metastatic cancer patients treated with immune checkpoint inhibitors
Less than half of unselected metastatic cancer patients benefit from the immune checkpoint inhibitor (ICI) therapy. System...
Bmc Cancer
comment
0
thumb_up
0
Refining gastric cancer staging: examining the interplay between number and anatomical location of metastatic lymph nodes - a retrospective multi-institutional study
The current gastric cancer staging system relies on the number of metastatic lymph nodes (MLNs) for nodal stage determinat...
Bmc Cancer
comment
0
thumb_up
0
Prognostic implications of alpha-fetoprotein and C-reactive protein elevation in hepatocellular carcinoma following resection (PACE): a large cohort study of 2770 patients
Routine clinical staging for hepatocellular carcinoma (HCC) incorporates liver function, general health, and tumor morphol...
Bmc Cancer
comment
0
thumb_up
0
Patient and physician perspectives on treatments for low-risk prostate cancer: a qualitative study
Patients diagnosed with low-risk prostate cancer (PCa) are confronted with a difficult decision regarding whether to under...
Bmc Cancer
comment
0
thumb_up
0
A multicenter noninferior randomized controlled study of sentinel lymph node biopsy alone versus sentinel lymph node biopsy plus lymphadenectomy for patients with stage I endometrial cancer, INSEC trial concept
Up to the present time, there has remained a lack of strong evidence as to whether sentinel lymph node biopsy can replace ...
Bmc Cancer
comment
0
thumb_up
0
Proteome-wide analysis reveals potential therapeutic targets for Colorectal cancer: a two-sample mendelian randomization study
Colorectal cancer (CRC) is a leading cause of cancer-related mortality, highlighting an unmet clinical need for more effec...
Bmc Cancer
comment
0
thumb_up
0
Can we use a simple blood test to reduce unnecessary adverse effects from radiotherapy by timely identification of radiotherapy-resistant rectal cancers? MeD-Seq rectal study protocol
Chemoradiation therapy (CRT) followed by surgery is currently the standard of care to treat patients with locally advanced...
Bmc Cancer
comment
0
thumb_up
0
Hepatocellular carcinoma immune prognosis score predicts the clinical outcomes of hepatocellular carcinoma patients receiving immune checkpoint inhibitors
The predictive biomarkers of immune checkpoint inhibitors (ICIs) in hepatocellular carcinoma (HCC) still need to be furthe...
Bmc Cancer
comment
0
thumb_up
0
Construction of a prognostic risk score model based on the ARHGAP family to predict the survival of osteosarcoma
Osteosarcoma (OS) is the most common primary malignancy of bone tumors. More and more ARHGAP family genes have been confir...
Bmc Cancer
comment
0
thumb_up
0
Load More
Modal title
×
Modal title
×
Share
Login
Global News and Health Forum
Join Now!
Member Login
Remember me
Forgot password?
Or using
Linkedin