×
Close
Login
Home
SCI Abstract
Library D
Events & Partner
WeMed
MDLA Events Platform
Events
Media Partners
Educational Partner
User Tools
FAQ/USER GUIDE
Language
English
中文/ Chinese
French
Português
Español
Arabic
Russian
Contact Us
×
Close
mdla_1
mdla_2
mdla_3
mdla_4
mdla_5
mdla_6
Categories
Endocrinology, Metabolism & Nutrition
23203
Global Medical University
4983
Allergy
1699
Anatomy & Morphology
1528
Andrology
379
Anesthesia & Intensive Care
1224
Anesthesiology
5240
Audiology & Speech-Language Pathology
311
Behavioral Sciences
104
Biochemical Research Methods
6740
Biochemistry & Molecular Biology
28859
Biodiversity Conservation
294
Biology
8103
Biophysics
7956
Biotechnology & Applied Microbiology
8053
Cardiac & Cardiovascular Systems
30112
Cardiovascular & Respiratory Systems
1348
Cell & Tissue Engineering
664
Cell Biology
10762
Chemistry, Analytical
4154
Chemistry, Applied
10754
Chemistry, Medicinal
8448
Chemistry, Multidisciplinary
18249
Clinical Immunology & Infectious Disease
397
Clinical Medicine
8736
Clinical Neurology
15936
Clinical Psychology & Psychiatry
1251
Critical Care Medicine
3057
Dentistry, Oral Surgery & Medicine
12737
Dermatology
7353
Developmental Biology
6790
Ecology
631
Education, Scientific Disciplines
1919
Emergency Medicine
3858
Engineering, Biomedical
3585
Entomology
445
Environmental Medicine & Public Health
4578
Evolutionary Biology
252
Gastroenterology & Hepatology
11540
General & Internal Medicine
6783
Genetics & Heredity
14549
Geriatrics & Gerontology
4845
Gerontology
338
Health Care Sciences & Services
15479
Health Policy & Services
613
Hematology
5371
Immunology
24161
Infectious Diseases
13438
Integrative & Complementary Medicine
2805
Medical Ethics
1194
Medical Informatics
2139
Medical Laboratory Technology
419
Medicine, General & Internal
43503
Medicine, Legal
485
Medicine, Research & Experimental
17190
Microbiology
22506
Mycology
0
Nanoscience & Nanotechnology
5019
Neuroimaging
1248
Neurology
4363
Neurosciences
38334
Nursing
9258
Nutrition & Dietetics
7660
Obstetrics & Gynecology
7932
Oncology
50751
Ophthalmology
9334
Optics
4072
Orthopedics
11209
Orthopedics, Rehabilitation & Sports Medicine
1702
Otolaryngology
1490
Otorhinolaryngology
4682
Parasitology
1063
Pathology
4781
Pediatrics
20799
Peripheral Vascular Disease
4509
Pharmacology & Pharmacy
33677
Pharmacology/Toxicology
11854
Physiology
8669
Polymer Science
511
Primary Health Care
791
Psychiatry
18467
Psychology
5005
Psychology, Applied
92
Psychology, Biological
329
Psychology, Clinical
786
Psychology, Developmental
228
Psychology, Educational
143
Psychology, Experimental
133
Psychology, Mathematical
0
Psychology, Multidisciplinary
1576
Psychology, Psychoanalysis
30
Psychology, Social
112
Public Health & Health Care Science
2167
Public, Environmental & Occupational Health
26484
Quantum Science & Technology
0
Radiology, Nuclear Medicine & Imaging
11918
Radiology, Nuclear Medicine & Medical Imaging
7746
Rehabilitation
2873
Remote Sensing
0
Reproductive Biology
2697
Reproductive Medicine
1178
Research/Laboratory Medicine & Medical Technology
3841
Respiratory System
6995
Rheumatology
5660
Social Sciences, Biomedical
1150
Substance Abuse
2647
Surgery
32537
Toxicology
4177
Transplantation
931
Tropical Medicine
300
Urology & Nephrology
12420
Veterinary Sciences
35
Virology
2369
Zoology
0
Channels
OSTEOPOROSIS INTERNATIONAL
570
NEJM Endocrinology
9
Medrxiv - Endocrinology Medrxiv
424
AMERICAN JOURNAL OF PHYSIOLOGY-CELL PHYSIOLOGY
447
BEST PRACTICE & RESEARCH CLINICAL ENDOCRINOLOGY & METABOLISM
191
BIOLOGY OF SEX DIFFERENCES
183
BMJ OPEN DIABETES RESEARCH & CARE
350
BONE
0
CALCIFIED TISSUE INTERNATIONAL
327
CARDIOVASCULAR DIABETOLOGY
610
CURRENT DIABETES REPORTS
142
CURRENT OBESITY REPORTS
109
CURRENT OPINION IN ENDOCRINOLOGY DIABETES AND OBESITY
163
CURRENT OPINION IN LIPIDOLOGY
115
CURRENT OSTEOPOROSIS REPORTS
175
DIABETES
134
DIABETES & METABOLISM
192
DIABETES & METABOLISM JOURNAL
40
DIABETES CARE
194
DIABETES METABOLIC SYNDROME AND OBESITY-TARGETS AND THERAPY
913
DIABETES OBESITY & METABOLISM
289
DIABETES RESEARCH AND CLINICAL PRACTICE
0
DIABETES-METABOLISM RESEARCH AND REVIEWS
105
DIABETIC MEDICINE
214
DIABETOLOGIA
512
ENDOCRINE
617
ENDOCRINE PATHOLOGY
150
ENDOCRINE PRACTICE
615
EUROPEAN THYROID JOURNAL
14
FRONTIERS IN ENDOCRINOLOGY
5516
HORMONES AND BEHAVIOR
282
JOURNAL OF BONE AND MINERAL RESEARCH
173
JOURNAL OF DIABETES
88
JOURNAL OF DIABETES INVESTIGATION
241
JOURNAL OF ENDOCRINOLOGICAL INVESTIGATION
581
JOURNAL OF HUMAN NUTRITION AND DIETETICS
91
JOURNAL OF NEUROENDOCRINOLOGY
106
JOURNAL OF PARENTERAL AND ENTERAL NUTRITION
235
LANCET DIABETES & ENDOCRINOLOGY
0
METABOLISM-CLINICAL AND EXPERIMENTAL
10
MOLECULAR METABOLISM
527
NATURE REVIEWS ENDOCRINOLOGY
427
NEUROENDOCRINOLOGY
144
NUTRITION & DIABETES
99
OBESITY
133
OBESITY REVIEWS
115
PEDIATRIC DIABETES
77
PSYCHONEUROENDOCRINOLOGY
0
THERAPEUTIC ADVANCES IN ENDOCRINOLOGY AND METABOLISM
31
ARCHIVES OF ENDOCRINOLOGY METABOLISM
0
CLINICAL ENDOCRINOLOGY
171
DIABETES & VASCULAR DISEASE RESEARCH
16
DIABETOLOGY & METABOLIC SYNDROME
494
ENDOCRINOLOGIA DIABETES Y NUTRICION
367
GENERAL AND COMPARATIVE ENDOCRINOLOGY
0
INTERNATIONAL JOURNAL OF SPORT NUTRITION AND EXERCISE METABOLISM
145
JOURNAL OF BIOLOGICAL REGULATORS AND HOMEOSTATIC AGENTS
139
JOURNAL OF CLINICAL DENSITOMETRY
249
JOURNAL OF DIABETES AND ITS COMPLICATIONS
429
NEUROIMMUNOMODULATION
82
OBESITY FACTS
158
REPRODUCTIVE BIOLOGY AND ENDOCRINOLOGY
378
WORLD REVIEW OF NUTRITION AND DIETETICS
30
HORMONE AND METABOLIC RESEARCH
306
NEUROPEPTIDES
155
THYROID RESEARCH
83
REVISTA DE OSTEOPOROSIS Y METABOLISMO MINERAL
44
BRITISH JOURNAL OF DIABETES
94
CLINICAL MEDICINE INSIGHTS-ENDOCRINOLOGY AND DIABETES
20
CLINICAL OBESITY
33
CLINICAL REVIEWS IN BONE AND MINERAL METABOLISM
38
DIABETOLOGY INTERNATIONAL
177
JOURNAL OF DIABETES AND METABOLIC DISORDERS
511
JOURNAL OF DIABETOLOGY
126
JOURNAL OF THE ASEAN FEDERATION OF ENDOCRINE SOCIETIES
172
OBESITY SCIENCE & PRACTICE
87
PITUITARY
277
REVIEWS IN ENDOCRINE & METABOLIC DISORDERS
257
DIABETES THERAPY
401
HORMONES-INTERNATIONAL JOURNAL OF ENDOCRINOLOGY AND METABOLISM
241
INTERNATIONAL JOURNAL OF DIABETES IN DEVELOPING COUNTRIES
314
METABOLIC BRAIN DISEASE
529
SCI Abstract
search
ALL
RECOMMENDED
+
The relationship between osteoporosis treatment history and receipt of a second zoledronic acid dose
We examined characteristics of patients in Ontario, Canada, initiating publicly funded zoledronic acid for osteoporosis fr...
Osteoporosis International
comment
0
thumb_up
0
Effectiveness of treatment initiation for secondary fracture prevention in the older population: Japanese Bone-fracture Osteoporosis in Late-stage population Database study (J-BOLD) – emulation of a randomized target trial
Initiating osteoporosis medication within 3 months after fracture reduces secondary fractures, particularly hip f...
Osteoporosis International
comment
0
thumb_up
0
Interaction between diabetes and osteoporosis: imbalance between inflammation and bone remodeling
Diabetes and osteoporosis are common chronic diseases worldwide, and there is a complex pathological relationship between ...
Osteoporosis International
comment
0
thumb_up
0
Effects of Glucagon-Like Peptide-1 receptor agonists on bone health in people living with obesity
Medications like liraglutide 3.0 mg daily (Saxenda®; Novo Nordisk) and semaglutide 2.4 mg weekly (W...
Osteoporosis International
comment
0
thumb_up
0
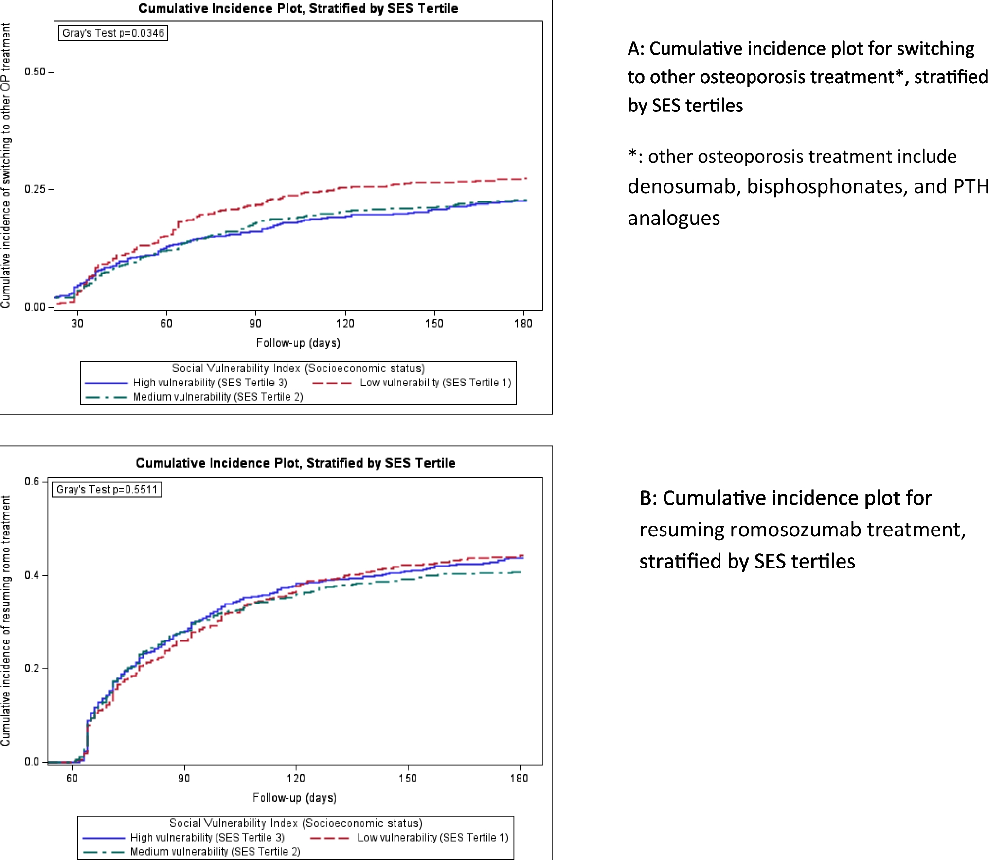
Socioeconomic vulnerability and osteoporosis treatment disparities during COVID-19 lockdown among U.S. medicare enrollees who initiated romosozumab
Higher area socioeconomic level was associated with a decreased risk of romosozumab discontinuation during COVID-19 lockdo...
Osteoporosis International
comment
0
thumb_up
0
Predictive capacity of fracture risk assessment tools: overview of systematic reviews
Conduct an overview of systematic reviews of the current fracture risk prediction tools in use. We included systematic rev...
Osteoporosis International
comment
0
thumb_up
0
Incidence, risk factors, prognosis of periprosthetic fractures post hip fracture: unveiling protective role of anti-osteoporotic medication
People with a hip fracture are prone to break the bone around the metal repair, causing severe health issues. This study f...
Osteoporosis International
comment
0
thumb_up
0
The cellular effect of intermittent PTH treatment on bone remodeling and modeling in humans—a histomorphometry centered scoping review
Intermittent PTH treatment has been used as both an osteoanabolic treatment in osteoporosis and a hormone replacement in h...
Osteoporosis International
comment
0
thumb_up
0
Bone mineral density assessment using radiofrequency echographic multispectrometry (REMS) in patients before and after total hip replacement
REMS-BMD by radiofrequency echographic multispectrometry is primarily determined by a patient’s BMI, age, and sex. O...
Osteoporosis International
comment
0
thumb_up
0
Height loss, back pain and severe pain are highly predictive of pregnancy associated osteoporosis
The diagnosis of pregnancy associated osteoporosis (PAO) is often delayed. We evaluated clinical predictors of PAO in 225 ...
Osteoporosis International
comment
0
thumb_up
0
Adequacy of pharmacological prescription in patients at very high risk of fracture within the FLS in Spain: analysis of the REFRA FLS-SEIOMM Registry
This study classifies osteoporotic patients treated in 16 FLS in Spain, evaluating therapeutic alignment with SEIOMM recom...
Osteoporosis International
comment
0
thumb_up
0
A nomogram for predicting surgery outcome of tumor-induced osteomalacia: a case-control study
This study presents a preoperative prediction model for tumor-induced osteomalacia (TIO) surgery outcomes on the basis of ...
Osteoporosis International
comment
0
thumb_up
0
Should we consider ankle fractures as osteoporotic fractures?
Since ankle fractures are common fractures in the lower limb, it is worth exploring their potential association w...
Osteoporosis International
comment
0
thumb_up
0
Impact of standard versus cyclic teriparatide and denosumab treatment on trabecular bone score: a post-hoc analysis of a randomized clinical trial
The osteoanabolic effects of teriparatide are maximal in the first 6 months of treatment. This secondary analysis...
Osteoporosis International
comment
0
thumb_up
0
Association between vertebral fractures and brain volume: insights from a community cohort study
Investigating vertebral fractures and brain structure, we found significant gray matter volume reductions in the right hip...
Osteoporosis International
comment
0
thumb_up
0
Identifying rare variants in genes related to bone phenotypes in a cohort of postmenopausal women
Rare genetic variants in genes previously described to be involved in bone monogenic disorders were identified in postmeno...
Osteoporosis International
comment
0
thumb_up
0
Identifying proximal humerus fractures: an algorithmic approach using registers and radiological visit data
In this study, we show that combining register and radiological visit data enables more accurate automated identification ...
Osteoporosis International
comment
0
thumb_up
0
Osteoclast in CRPS: an alleged guilty fully acquitted
Contrary to popular belief, a recent study did not show increased osteoclastic activity in acute complex regional pain syn...
Osteoporosis International
comment
0
thumb_up
0
Effects of combined protein and exercise interventions on bone health in middle-aged and older adults — A systematic literature review and meta-analysis of randomized controlled trials
Osteoporosis has become a global public health concern making prevention and treatment essential to reduce severe conseque...
Osteoporosis International
comment
0
thumb_up
0
Changing trends in bisphosphonate therapy: a twenty-five-year surveillance in a single US integrated healthcare system
In a single, large integrated US healthcare system, bisphosphonate treatment initiation for fracture prevention among olde...
Osteoporosis International
comment
0
thumb_up
0
The definition of atypical femoral fractures should include periprosthetic femoral fractures (PAFFs)
Periprosthetic hip fractures may have features of atypical femoral fractures. Atypical femoral fracture (AFF) is a rare co...
Osteoporosis International
comment
0
thumb_up
0
Evidence-based joint statement position of perioperative bone optimization in the arthroplasty candidate, from FEMECOT, AMMOM, ACOMM, SCCOT, SECOT, SEFRAOS, SEIOMM
The prevalence of patients living with joint replacements is increasing. Nearly two-thirds of patients undergoing elective...
Osteoporosis International
comment
0
thumb_up
0
A prediction model of elderly hip fracture mortality including preoperative red cell distribution width constructed based on the random survival forest (RSF) and Cox risk ratio regression
An independent correlation between pre-RDW and 1-year mortality after surgery in elderly hip fracture can be used to predi...
Osteoporosis International
comment
0
thumb_up
0
Treatment for Gorham-Stout syndrome with a combination of teriparatide and denosumab
Gorham-Stout syndrome is an aggressive, non-hereditary, and rare disease affecting bone metabolism. Its etiology and patho...
Osteoporosis International
comment
0
thumb_up
0
Geographic variation in bone mineral density and prevalent fractures in the Canadian longitudinal study on aging
Awareness of the prevalence of osteoporosis and fractures across jurisdictions can guide the development of local preventi...
Osteoporosis International
comment
0
thumb_up
0
Obesity, diabetes and risk of bone fragility: How BMAT behavior is affected by metabolic disturbances and its influence on bone health
Osteoporosis is a metabolic bone disease characterized by decreased bone strength and mass, which predisposes patients to ...
Osteoporosis International
comment
0
thumb_up
0
Correction to: Secular trends of incidence and hospitalization cost of hip fracture in Tangshan, China
School of Public Health, North China University of Science and Technology, Bohai Road 21, Caofeidian Dis, Tangshan, 063210...
Osteoporosis International
comment
0
thumb_up
0
Effect of gender on the evolution of pain and quality of life after treatment of symptomatic vertebral fragility fractures
The evolution of pain and quality of life after a symptomatic vertebral fracture differs according to patient gender, with...
Osteoporosis International
comment
0
thumb_up
0
Hypophosphatasia: presentation and response to asfotase alfa
Hypophosphatasia (HPP) is a rare bone disease with limited scientific evidence on the tolerability and safety of its novel...
Osteoporosis International
comment
0
thumb_up
0
Systematic review and meta-analysis of preoperative predictors for early mortality following hip fracture surgery
Hip fractures are a global health problem with a high postoperative mortality rate. Preoperative predictors for early mort...
Osteoporosis International
comment
0
thumb_up
0
Load More
Modal title
×
Modal title
×
Share
Login
Global News and Health Forum
Join Now!
Member Login
Remember me
Forgot password?
Or using
Linkedin