×
Close
Login
Home
SCI Abstract
Library D
Community
Events
Events & Partner
WeMed
Media Partners
Educational Partner
User Tools
FAQ/USER GUIDE
Language
English
中文/ Chinese
Contact Us
×
Close
mdla_1
mdla_2
mdla_3
mdla_4
mdla_5
mdla_6
Categories
Endocrinology, Metabolism & Nutrition
22437
Global Medical University
4768
Allergy
1661
Anatomy & Morphology
1532
Andrology
379
Anesthesia & Intensive Care
1178
Anesthesiology
5045
Audiology & Speech-Language Pathology
318
Behavioral Sciences
104
Biochemical Research Methods
6611
Biochemistry & Molecular Biology
28041
Biodiversity Conservation
290
Biology
7876
Biophysics
7515
Biotechnology & Applied Microbiology
7888
Cardiac & Cardiovascular Systems
29220
Cardiovascular & Respiratory Systems
1315
Cell & Tissue Engineering
649
Cell Biology
10697
Chemistry, Analytical
4091
Chemistry, Applied
10195
Chemistry, Medicinal
8303
Chemistry, Multidisciplinary
17738
Clinical Immunology & Infectious Disease
364
Clinical Medicine
8627
Clinical Neurology
15461
Clinical Psychology & Psychiatry
1144
Critical Care Medicine
2910
Dentistry, Oral Surgery & Medicine
12594
Dermatology
7199
Developmental Biology
6617
Ecology
613
Education, Scientific Disciplines
1899
Emergency Medicine
3746
Engineering, Biomedical
3530
Entomology
433
Environmental Medicine & Public Health
4406
Evolutionary Biology
251
Gastroenterology & Hepatology
11192
General & Internal Medicine
6485
Genetics & Heredity
14029
Geriatrics & Gerontology
4662
Gerontology
344
Health Care Sciences & Services
15029
Health Policy & Services
617
Hematology
5284
Immunology
23232
Infectious Diseases
13100
Integrative & Complementary Medicine
2730
Medical Ethics
1147
Medical Informatics
2094
Medical Laboratory Technology
419
Medicine, General & Internal
42210
Medicine, Legal
466
Medicine, Research & Experimental
16570
Microbiology
21808
Mycology
0
Nanoscience & Nanotechnology
4926
Neuroimaging
1251
Neurology
4181
Neurosciences
36934
Nursing
8992
Nutrition & Dietetics
7525
Obstetrics & Gynecology
7726
Oncology
49070
Ophthalmology
8984
Optics
3953
Orthopedics
10926
Orthopedics, Rehabilitation & Sports Medicine
1643
Otolaryngology
1478
Otorhinolaryngology
4593
Parasitology
1025
Pathology
4704
Pediatrics
19940
Peripheral Vascular Disease
4384
Pharmacology & Pharmacy
32750
Pharmacology/Toxicology
11380
Physiology
8317
Polymer Science
503
Primary Health Care
781
Psychiatry
17638
Psychology
4901
Psychology, Applied
86
Psychology, Biological
327
Psychology, Clinical
740
Psychology, Developmental
235
Psychology, Educational
137
Psychology, Experimental
141
Psychology, Mathematical
0
Psychology, Multidisciplinary
1576
Psychology, Psychoanalysis
30
Psychology, Social
112
Public Health & Health Care Science
2098
Public, Environmental & Occupational Health
25604
Quantum Science & Technology
0
Radiology, Nuclear Medicine & Imaging
11585
Radiology, Nuclear Medicine & Medical Imaging
7619
Rehabilitation
2849
Remote Sensing
0
Reproductive Biology
2560
Reproductive Medicine
1145
Research/Laboratory Medicine & Medical Technology
3718
Respiratory System
6846
Rheumatology
5475
Social Sciences, Biomedical
1124
Substance Abuse
2605
Surgery
31236
Toxicology
4130
Transplantation
920
Tropical Medicine
272
Urology & Nephrology
11919
Veterinary Sciences
35
Virology
2373
Zoology
0
Channels
PITUITARY
283
NEJM Endocrinology
9
Medrxiv - Endocrinology Medrxiv
421
AMERICAN JOURNAL OF PHYSIOLOGY-CELL PHYSIOLOGY
443
BEST PRACTICE & RESEARCH CLINICAL ENDOCRINOLOGY & METABOLISM
193
BIOLOGY OF SEX DIFFERENCES
177
BMJ OPEN DIABETES RESEARCH & CARE
333
BONE
0
CALCIFIED TISSUE INTERNATIONAL
328
CARDIOVASCULAR DIABETOLOGY
579
CURRENT DIABETES REPORTS
138
CURRENT OBESITY REPORTS
104
CURRENT OPINION IN ENDOCRINOLOGY DIABETES AND OBESITY
154
CURRENT OPINION IN LIPIDOLOGY
104
CURRENT OSTEOPOROSIS REPORTS
181
DIABETES
134
DIABETES & METABOLISM
201
DIABETES & METABOLISM JOURNAL
40
DIABETES CARE
194
DIABETES METABOLIC SYNDROME AND OBESITY-TARGETS AND THERAPY
865
DIABETES OBESITY & METABOLISM
289
DIABETES RESEARCH AND CLINICAL PRACTICE
0
DIABETES-METABOLISM RESEARCH AND REVIEWS
105
DIABETIC MEDICINE
214
DIABETOLOGIA
497
ENDOCRINE
585
ENDOCRINE PATHOLOGY
149
ENDOCRINE PRACTICE
613
EUROPEAN THYROID JOURNAL
14
FRONTIERS IN ENDOCRINOLOGY
5155
HORMONES AND BEHAVIOR
286
JOURNAL OF BONE AND MINERAL RESEARCH
173
JOURNAL OF DIABETES
88
JOURNAL OF DIABETES INVESTIGATION
241
JOURNAL OF ENDOCRINOLOGICAL INVESTIGATION
547
JOURNAL OF HUMAN NUTRITION AND DIETETICS
91
JOURNAL OF NEUROENDOCRINOLOGY
106
JOURNAL OF PARENTERAL AND ENTERAL NUTRITION
235
LANCET DIABETES & ENDOCRINOLOGY
0
METABOLISM-CLINICAL AND EXPERIMENTAL
10
MOLECULAR METABOLISM
523
NATURE REVIEWS ENDOCRINOLOGY
407
NEUROENDOCRINOLOGY
130
NUTRITION & DIABETES
106
OBESITY
133
OBESITY REVIEWS
115
PEDIATRIC DIABETES
77
PSYCHONEUROENDOCRINOLOGY
0
THERAPEUTIC ADVANCES IN ENDOCRINOLOGY AND METABOLISM
31
ARCHIVES OF ENDOCRINOLOGY METABOLISM
0
CLINICAL ENDOCRINOLOGY
171
DIABETES & VASCULAR DISEASE RESEARCH
16
DIABETOLOGY & METABOLIC SYNDROME
468
ENDOCRINOLOGIA DIABETES Y NUTRICION
364
GENERAL AND COMPARATIVE ENDOCRINOLOGY
0
INTERNATIONAL JOURNAL OF SPORT NUTRITION AND EXERCISE METABOLISM
136
JOURNAL OF BIOLOGICAL REGULATORS AND HOMEOSTATIC AGENTS
139
JOURNAL OF CLINICAL DENSITOMETRY
245
JOURNAL OF DIABETES AND ITS COMPLICATIONS
410
NEUROIMMUNOMODULATION
79
OBESITY FACTS
150
REPRODUCTIVE BIOLOGY AND ENDOCRINOLOGY
359
WORLD REVIEW OF NUTRITION AND DIETETICS
30
HORMONE AND METABOLIC RESEARCH
301
NEUROPEPTIDES
161
THYROID RESEARCH
81
REVISTA DE OSTEOPOROSIS Y METABOLISMO MINERAL
44
BRITISH JOURNAL OF DIABETES
93
CLINICAL MEDICINE INSIGHTS-ENDOCRINOLOGY AND DIABETES
20
CLINICAL OBESITY
33
CLINICAL REVIEWS IN BONE AND MINERAL METABOLISM
51
DIABETOLOGY INTERNATIONAL
185
JOURNAL OF DIABETES AND METABOLIC DISORDERS
493
JOURNAL OF DIABETOLOGY
117
JOURNAL OF THE ASEAN FEDERATION OF ENDOCRINE SOCIETIES
172
OBESITY SCIENCE & PRACTICE
87
OSTEOPOROSIS INTERNATIONAL
544
REVIEWS IN ENDOCRINE & METABOLIC DISORDERS
263
DIABETES THERAPY
375
HORMONES-INTERNATIONAL JOURNAL OF ENDOCRINOLOGY AND METABOLISM
226
INTERNATIONAL JOURNAL OF DIABETES IN DEVELOPING COUNTRIES
313
METABOLIC BRAIN DISEASE
510
SCI Abstract
search
ALL
RECOMMENDED
+
Sex-related differences in healthcare utilization and costs among patients with pituitary adenomas
To systematically summarize and evaluate the current evidence regarding sex-based differences in healthcare utilization (H...
Pituitary
comment
0
thumb_up
0
Subsequent primary malignancies in patients with initial diagnosis of pituitary adenoma: a surveillance, epidemiology, and end results (SEER) data analysis
Pituitary adenoma is a frequently encountered intracranial mass that is typically characterized by slow growth and benign ...
Pituitary
comment
0
thumb_up
0
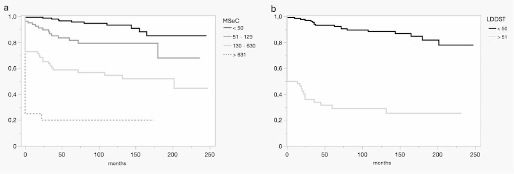
Early postoperative LDDST enhances remission prediction beyond morning cortisol in cushing’s disease
Transsphenoidal surgery (TSS) is the recommended treatment for Cushing’s disease (CD). While low morning serum corti...
Pituitary
comment
0
thumb_up
0
Individualized gamma knife radiosurgery prescription dosing for pituitary adenomas: development and internal validation of a feedforward neural network model
Gamma Knife radiosurgery (GKRS) is an established treatment for pituitary adenomas yet prescription dose selection is ofte...
Pituitary
comment
0
thumb_up
0
Histopathological and radiological predictors of surgical remission failure in GH-secreting pituitary adenomas
To evaluate the role of T2 signal intensity in differentiating granulation patterns in GH-secreting pituitary adenomas and...
Pituitary
comment
0
thumb_up
0
Gender differences in surgical outcomes and predictors of long term endocrine and metabolic morbidity in adults with craniopharyngioma
To analyze surgical outcomes in adults with craniopharyngioma (CP) and to identify predictors of long-term endocrine-metab...
Pituitary
comment
0
thumb_up
0
Cardiovascular and metabolic outcomes of GH replacement therapy in adults with GH deficiency – gender gaps
Adult growth hormone (GH) deficiency is associated with increased body fat mass, abdominal obesity, dyslipidaemia, reduced...
Pituitary
comment
0
thumb_up
0
Sex differences in the clinical presentation, management and long-term outcomes of pituitary tumors in children and adolescents
Pituitary adenomas (PAs) are rare in children and adolescents. Despite their typically benign histology, these tumors rais...
Pituitary
comment
0
thumb_up
0
The clinical value of [F]-fluoro-ethyl-L-tyrosine PET ([F]FET-PET) correlated with MRI in patients with functioning pituitary adenomas: an observational cohort study
To assess the clinical value of [18F]fluoroethyl-L-tyrosine PET ([18F]FET-PET) correlated with MRI in patients with functi...
Pituitary
comment
0
thumb_up
0
Real-world diagnostic performance of the macimorelin stimulation test in the diagnosis of adult growth hormone deficiency
Macimorelin, a ghrelin receptor agonist, is used for diagnosing adult GH deficiency (AGHD). The FDA-approved GH cut-off is...
Pituitary
comment
0
thumb_up
0
Aggressive and malignant pituitary tumours: does the sex matter?
Aggressive pituitary tumours (APT) and pituitary carcinomas (PC) are rare pituitary neoplasms and occur more frequently in...
Pituitary
comment
0
thumb_up
0
Intranasal povidone-iodine concentration and olfactory recovery after endoscopic endonasal pituitary surgery
The endoscopic endonasal approach (EEA) is a widely accepted, safe, and effective technique to treat pituitary lesions. Am...
Pituitary
comment
0
thumb_up
0
Oxidative phosphorylation patterns in pituitary adenoma/neuroendocrine tumors
Pituitary neuroendocrine tumors (PitNETs), also known as pituitary adenomas, exhibit marked lineage-specific heterogeneity...
Pituitary
comment
0
thumb_up
0
Cytokeratin 5.2 expression as a predictive marker of outcome in patients with acromegaly following endoscopic transsphenoidal surgery
The study aimed to characterize clinico-radiological differences and their impact on post-surgical outcomes in histologica...
Pituitary
comment
0
thumb_up
0
Metabolic syndrome in cushing’s syndrome patients: Does gender matter?
Cushing’s syndrome (CS) results from chronic excess of glucocorticoids and is closely linked to various components o...
Pituitary
comment
0
thumb_up
0
Biochemical and metabolic tissue discrimination using a dual-modality Raman-fluorescence endonasal spectroscopy probe for pituitary adenoma surgery
A major challenge in pituitary adenoma surgery is distinguishing adenoma from normal pituitary gland and adjacent structur...
Pituitary
comment
0
thumb_up
0
ACRODAT and SAGIT for the assessment of disease activity in acromegaly: a multicenter study of the Veneto region in Italy
Although biochemical parameters have always been the basis for assessing acromegaly disease activity, other factors such a...
Pituitary
comment
0
thumb_up
0
Baseline testosterone levels as a predictor of hypogonadism resolution in male patients with isolated hyperprolactinemia
To evaluate the prevalence and the timing of gonadal axis restoration in men with hypogonadism secondary to hyperprolactin...
Pituitary
comment
0
thumb_up
0
Genetic profiling of synchronous pituitary corticotroph adenomas
Double or multiple pituitary adenomas account for only 1.6–3.3% of all corticotroph tumors. We sought to better unde...
Pituitary
comment
0
thumb_up
0
Weight gain reversibility and BMI following treatment for Cushing’s syndrome: long-term outcomes and potential predictors
Patients with Cushing’s syndrome (CS) have higher weight and body mass index (BMI) compared to matched controls. We ...
Pituitary
comment
0
thumb_up
0
FAP as a prognostic biomarker and radiomics-based predictor of angiogenesis-associated recurrence in Adamantinomatous craniopharyngioma
Adamantinomatous craniopharyngioma (ACP) is a histologically benign yet clinically aggressive intracranial tumor character...
Pituitary
comment
0
thumb_up
0
High recurrence of rathke’s cleft cysts with anterior-Inferior pituitary displacement despite standard surgical approaches
Although endonasal endoscopic surgery (EES) is widely used to treat symptomatic Rathke’s cleft cysts (RCCs), the opt...
Pituitary
comment
0
thumb_up
0
Endoscopic endonasal transcavernous surgery for a contemporary series of 59 prolactinomas
To assess surgical outcomes in patients with prolactinomas treated surgically with contemporary endoscopic endonasal techn...
Pituitary
comment
0
thumb_up
0
Microbiome and metabolic disorder in prolactinoma: intrinsic gender differences and extrinsic therapy effects
Prolactinoma is the most common functional pituitary adenoma. As for gender disparity in the metabolic state, males tended...
Pituitary
comment
0
thumb_up
0
Non-penetrant Xq26.3 duplication involving the invariant TAD border: clinical evidence for the region as the pituitary enhancer of X-linked acrogigantism
X-linked acrogigantism (X-LAG; OMIM: 300942) is a rare X-linked dominant, fully penetrant form of infancy-onset pituitary ...
Pituitary
comment
0
thumb_up
0
A core outcome set for pituitary surgery research: an international delphi consensus study
This study aimed to develop a core outcome set (COS) for pituitary surgery to enhance the quality, efficiency and effectiv...
Pituitary
comment
0
thumb_up
0
Morphometric study of the pituitary gland and stalk with emphasis on lifestyle factors
To provide normative data on pituitary gland and stalk morphometrics and to assess their associations with demographic and...
Pituitary
comment
0
thumb_up
0
Genetic evaluation of pediatric pituitary adenomas and -related genotype-phenotype correlations in Cushing’s disease
Pituitary adenomas (PAs) constitute a rare pediatric diagnosis and their pathogenetic mechanisms are not clearly understoo...
Pituitary
comment
0
thumb_up
0
Evaluating pituitary tumor management: aligning with pituitary tumor centers of excellence criteria
The Pituitary Society established criteria to develop Pituitary Tumor Centers of Excellence (PTCOE) for optimization of pa...
Pituitary
comment
0
thumb_up
0
Semaglutide treatment in hypothalamic obesity: Two-Year outcomes on body composition, appetite, and quality of life
Hypothalamic obesity is a severe complication of craniopharyngioma, marked by hyperphagia and rapid weight gain. Glucagon-...
Pituitary
comment
0
thumb_up
0
Load More
Modal title
×
Modal title
×
Share
Login
Global News and Health Forum
Join Now!
Member Login
Remember me
Forgot password?
Or using
Linkedin