×
Close
Login
Home
SCI Abstract
Library D
Community
Events
Events & Partner
WeMed
Media Partners
Educational Partner
User Tools
FAQ/USER GUIDE
Language
English
中文/ Chinese
Contact Us
×
Close
mdla_1
mdla_2
mdla_3
mdla_4
mdla_5
mdla_6
Categories
Endocrinology, Metabolism & Nutrition
22446
Global Medical University
4777
Allergy
1641
Anatomy & Morphology
1532
Andrology
379
Anesthesia & Intensive Care
1178
Anesthesiology
5046
Audiology & Speech-Language Pathology
318
Behavioral Sciences
104
Biochemical Research Methods
6634
Biochemistry & Molecular Biology
28059
Biodiversity Conservation
290
Biology
7880
Biophysics
7524
Biotechnology & Applied Microbiology
7898
Cardiac & Cardiovascular Systems
29228
Cardiovascular & Respiratory Systems
1315
Cell & Tissue Engineering
650
Cell Biology
10694
Chemistry, Analytical
4096
Chemistry, Applied
10217
Chemistry, Medicinal
8309
Chemistry, Multidisciplinary
17763
Clinical Immunology & Infectious Disease
364
Clinical Medicine
8627
Clinical Neurology
15514
Clinical Psychology & Psychiatry
1151
Critical Care Medicine
2920
Dentistry, Oral Surgery & Medicine
12608
Dermatology
7210
Developmental Biology
6631
Ecology
613
Education, Scientific Disciplines
1903
Emergency Medicine
3750
Engineering, Biomedical
3514
Entomology
434
Environmental Medicine & Public Health
4421
Evolutionary Biology
251
Gastroenterology & Hepatology
11238
General & Internal Medicine
6487
Genetics & Heredity
14041
Geriatrics & Gerontology
4668
Gerontology
344
Health Care Sciences & Services
15064
Health Policy & Services
617
Hematology
5290
Immunology
23246
Infectious Diseases
13116
Integrative & Complementary Medicine
2732
Medical Ethics
1147
Medical Informatics
2099
Medical Laboratory Technology
419
Medicine, General & Internal
42234
Medicine, Legal
466
Medicine, Research & Experimental
16589
Microbiology
21797
Mycology
0
Nanoscience & Nanotechnology
4939
Neuroimaging
1251
Neurology
4195
Neurosciences
36938
Nursing
9000
Nutrition & Dietetics
7527
Obstetrics & Gynecology
7713
Oncology
49155
Ophthalmology
9003
Optics
3964
Orthopedics
10929
Orthopedics, Rehabilitation & Sports Medicine
1623
Otolaryngology
1482
Otorhinolaryngology
4586
Parasitology
1026
Pathology
4717
Pediatrics
19970
Peripheral Vascular Disease
4392
Pharmacology & Pharmacy
32765
Pharmacology/Toxicology
11403
Physiology
8335
Polymer Science
503
Primary Health Care
781
Psychiatry
17685
Psychology
4906
Psychology, Applied
86
Psychology, Biological
327
Psychology, Clinical
740
Psychology, Developmental
235
Psychology, Educational
137
Psychology, Experimental
143
Psychology, Mathematical
0
Psychology, Multidisciplinary
1565
Psychology, Psychoanalysis
30
Psychology, Social
112
Public Health & Health Care Science
2100
Public, Environmental & Occupational Health
25659
Quantum Science & Technology
0
Radiology, Nuclear Medicine & Imaging
11613
Radiology, Nuclear Medicine & Medical Imaging
7624
Rehabilitation
2856
Remote Sensing
0
Reproductive Biology
2563
Reproductive Medicine
1146
Research/Laboratory Medicine & Medical Technology
3718
Respiratory System
6854
Rheumatology
5483
Social Sciences, Biomedical
1124
Substance Abuse
2607
Surgery
31298
Toxicology
4122
Transplantation
920
Tropical Medicine
272
Urology & Nephrology
11926
Veterinary Sciences
35
Virology
2360
Zoology
0
Channels
ENDOCRINE
587
NEJM Endocrinology
9
Medrxiv - Endocrinology Medrxiv
421
AMERICAN JOURNAL OF PHYSIOLOGY-CELL PHYSIOLOGY
443
BEST PRACTICE & RESEARCH CLINICAL ENDOCRINOLOGY & METABOLISM
194
BIOLOGY OF SEX DIFFERENCES
177
BMJ OPEN DIABETES RESEARCH & CARE
334
BONE
0
CALCIFIED TISSUE INTERNATIONAL
329
CARDIOVASCULAR DIABETOLOGY
579
CURRENT DIABETES REPORTS
138
CURRENT OBESITY REPORTS
104
CURRENT OPINION IN ENDOCRINOLOGY DIABETES AND OBESITY
154
CURRENT OPINION IN LIPIDOLOGY
104
CURRENT OSTEOPOROSIS REPORTS
182
DIABETES
134
DIABETES & METABOLISM
201
DIABETES & METABOLISM JOURNAL
40
DIABETES CARE
194
DIABETES METABOLIC SYNDROME AND OBESITY-TARGETS AND THERAPY
870
DIABETES OBESITY & METABOLISM
289
DIABETES RESEARCH AND CLINICAL PRACTICE
0
DIABETES-METABOLISM RESEARCH AND REVIEWS
105
DIABETIC MEDICINE
214
DIABETOLOGIA
497
ENDOCRINE PATHOLOGY
149
ENDOCRINE PRACTICE
616
EUROPEAN THYROID JOURNAL
14
FRONTIERS IN ENDOCRINOLOGY
5155
HORMONES AND BEHAVIOR
286
JOURNAL OF BONE AND MINERAL RESEARCH
173
JOURNAL OF DIABETES
88
JOURNAL OF DIABETES INVESTIGATION
241
JOURNAL OF ENDOCRINOLOGICAL INVESTIGATION
547
JOURNAL OF HUMAN NUTRITION AND DIETETICS
91
JOURNAL OF NEUROENDOCRINOLOGY
106
JOURNAL OF PARENTERAL AND ENTERAL NUTRITION
235
LANCET DIABETES & ENDOCRINOLOGY
0
METABOLISM-CLINICAL AND EXPERIMENTAL
10
MOLECULAR METABOLISM
523
NATURE REVIEWS ENDOCRINOLOGY
408
NEUROENDOCRINOLOGY
130
NUTRITION & DIABETES
106
OBESITY
133
OBESITY REVIEWS
115
PEDIATRIC DIABETES
77
PSYCHONEUROENDOCRINOLOGY
0
THERAPEUTIC ADVANCES IN ENDOCRINOLOGY AND METABOLISM
31
ARCHIVES OF ENDOCRINOLOGY METABOLISM
0
CLINICAL ENDOCRINOLOGY
171
DIABETES & VASCULAR DISEASE RESEARCH
16
DIABETOLOGY & METABOLIC SYNDROME
470
ENDOCRINOLOGIA DIABETES Y NUTRICION
365
GENERAL AND COMPARATIVE ENDOCRINOLOGY
0
INTERNATIONAL JOURNAL OF SPORT NUTRITION AND EXERCISE METABOLISM
136
JOURNAL OF BIOLOGICAL REGULATORS AND HOMEOSTATIC AGENTS
139
JOURNAL OF CLINICAL DENSITOMETRY
245
JOURNAL OF DIABETES AND ITS COMPLICATIONS
410
NEUROIMMUNOMODULATION
79
OBESITY FACTS
152
REPRODUCTIVE BIOLOGY AND ENDOCRINOLOGY
361
WORLD REVIEW OF NUTRITION AND DIETETICS
30
HORMONE AND METABOLIC RESEARCH
301
NEUROPEPTIDES
161
THYROID RESEARCH
81
REVISTA DE OSTEOPOROSIS Y METABOLISMO MINERAL
44
BRITISH JOURNAL OF DIABETES
93
CLINICAL MEDICINE INSIGHTS-ENDOCRINOLOGY AND DIABETES
20
CLINICAL OBESITY
33
CLINICAL REVIEWS IN BONE AND MINERAL METABOLISM
51
DIABETOLOGY INTERNATIONAL
185
JOURNAL OF DIABETES AND METABOLIC DISORDERS
493
JOURNAL OF DIABETOLOGY
117
JOURNAL OF THE ASEAN FEDERATION OF ENDOCRINE SOCIETIES
172
OBESITY SCIENCE & PRACTICE
87
PITUITARY
283
OSTEOPOROSIS INTERNATIONAL
544
REVIEWS IN ENDOCRINE & METABOLIC DISORDERS
245
DIABETES THERAPY
379
HORMONES-INTERNATIONAL JOURNAL OF ENDOCRINOLOGY AND METABOLISM
226
INTERNATIONAL JOURNAL OF DIABETES IN DEVELOPING COUNTRIES
313
METABOLIC BRAIN DISEASE
511
SCI Abstract
search
ALL
RECOMMENDED
+
Quantitative sensory testing and skin biopsy for neuropathy assessment in Portuguese patients with type 1 diabetes: an exploratory study
Skin biopsy (SB) is considered the gold standard for detecting Small Fiber Neuropathy (SFN), a common complication of Diab...
Endocrine
comment
0
thumb_up
0
High prevalence of sleep apnea and its association with autonomic dysfunction in on-obese individuals with diabetes
Sleep apnea (SA) was prevalent even in non-obese patients with type 2 diabetes mellitus (T2DM) and was associated with a r...
Endocrine
comment
0
thumb_up
0
Nomogram prediction model for postoperative anterior pituitary dysfunction in patients with nonfunctioning pituitary adenomas: A multidimensional analysis and validation of Short-Term and Mid-to-Long-Term outcomes
To develop and validate a nomogram for predicting postoperative anterior pituitary dysfunction (APD) in patients with nonf...
Endocrine
comment
0
thumb_up
0
Effect of Goserelin acetate on non-invasive indices of hepatic steatosis in women with endometriosis
Menopause has been associated with metabolic dysfunction-associated steatotic liver disease (MASLD). This study primarily ...
Endocrine
comment
0
thumb_up
0
Aortic valve stenosis in high-Lipoprotein(a) patients: the role of lipoprotein apheresis
Nowadays, despite the new lipid-lowering drugs, lipoprotein apheresis (LA) maintains its therapeutic role in severe hyperc...
Endocrine
comment
0
thumb_up
0
Estimated glucose disposal rate (eGDR) and prehypertension in Non-Diabetic Japanese adults: A secondary analysis of the NAGALA Cross-Sectional study
The association between estimated glucose disposal rate (eGDR) and prehypertension (pre-HTN) in non-diabetic Japanese adul...
Endocrine
comment
0
thumb_up
0
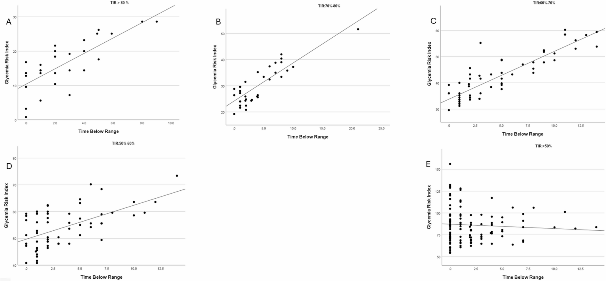
Glycemia risk index in pediatric type 1 diabetes: A retrospective observational study of a novel metric for assessing glycemic control and variability
Continuous glucose monitoring (CGM) provides detailed insights into glycemic patterns in type 1 diabetes (T1D), yet clinic...
Endocrine
comment
0
thumb_up
0
From proliferation to bone invasion: The association between Ki-67 index and histological Sellar floor destruction in pituitary adenomas
This study aimed to investigate the association between histopathological proliferation markers and microscopic sellar flo...
Endocrine
comment
0
thumb_up
0
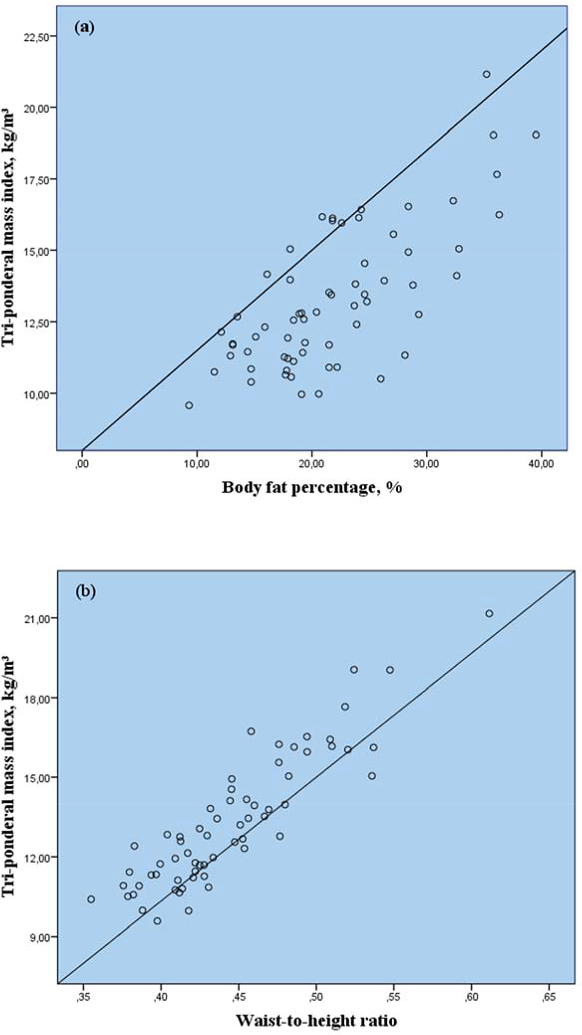
Beyond conventional measures: body composition analyses and the role of Tri-Ponderal mass index in assessing adiposity in children with type 1 diabetes mellitus
Children with type 1 diabetes mellitus (T1DM) are at increased risk of excess adiposity due to sedentary lifestyle, dietar...
Endocrine
comment
0
thumb_up
0
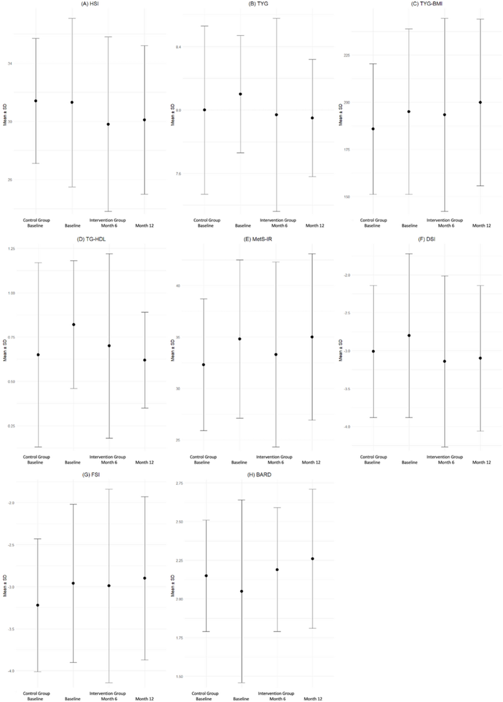
Assessing the role of the Triglyceride-glucose related indices in identifying metabolic syndrome risk across body mass index categories
This study aimed to explore the association between triglyceride-glucose (TyG) related indices and the metabolic syndrome ...
Endocrine
comment
0
thumb_up
0
Bone health and body composition in Indian girls with Turner syndrome: analysis based on therapeutic interventions
Turner syndrome (TS) is associated with multiple factors contributing to compromised bone health. This study aims to evalu...
Endocrine
comment
0
thumb_up
0
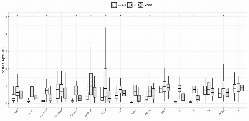
Beyond cortisol: multiplex steroid profiling after overnight dexamethasone suppression to optimize Cushing’s syndrome screening
Cushing’s syndrome (CS) is a life-threatening endocrine disorder challenging to diagnose. The 1 mg Dexameth...
Endocrine
comment
0
thumb_up
0
Short-Term BRAF Inhibition with Dabrafenib induced redifferentiation in a subset of patients with –Mutant papillary thyroid carcinoma
Radioiodine-refractory (RAIR) differentiated thyroid carcinoma (DTC), particularly those harboring BRAF V600E mutations, i...
Endocrine
comment
0
thumb_up
0
Effect of Roxadustat on bone metabolism markers in patients with renal anemia
Roxadustat, a prolyl hydroxylase domain inhibitor that stabilizes hypoxia-inducible factor (HIF) expression, is a recently...
Endocrine
comment
0
thumb_up
0
ΔTg assesses radioiodine treatment response and predicts prognosis in pediatric differentiated thyroid cancer with postoperative persistent disease
This study aims to define the relationship between the serum thyroglobulin change rate (ΔTg) after radioactive iodine...
Endocrine
comment
0
thumb_up
0
Time-divided hypoglycemia management derived by continuous glucose monitoring may reduce microvascular diseases in type 2 diabetes patients
To assess the association between hypoglycemia exposure and the risk of developing microvascular diseases (MVDs) in type 2...
Endocrine
comment
0
thumb_up
0
Preoperative controlling nutritional status score for patients with medullary thyroid cancer
Medullary thyroid cancer (MTC) is aggressive in nature compared with differentiated thyroid cancer, with a poor 10-year ov...
Endocrine
comment
0
thumb_up
0
GLP-1 receptor agonists show no detrimental effect on sperm quality in mouse models and cell lines
Glucagon-like peptide-1 receptor (GLP-1R) agonists exert multiple beneficial effects. However, their effects on reproducti...
Endocrine
comment
0
thumb_up
0
Modern treatment of craniopharyngioma to improve outcomes: evidence of a change of paradigm
Craniopharyngiomas, rare primary brain tumors of the pituitary-hypothalamic axis, frequently result in sicubstantial morbi...
Endocrine
comment
0
thumb_up
0
“Thank you for sharing!”: A thematic analysis of comments on an endocrinologist-moderated facebook page
Thyroid diseases are a global health concern. The thyroid gland functions for homeostasis and metabolism, implying its dis...
Endocrine
comment
0
thumb_up
0
The blood transcriptome of the human congenital generalized lipodystrophy
Congenital generalized lipodystrophy (CGL), also known as Berardinelli-Seip syndrome, is a recessive genetic disease. Affe...
Endocrine
comment
0
thumb_up
0
Familial complete androgen insensitivity syndrome (CAIS): a case series of three siblings with emphasis on diagnosis, management, and psychosocial outcomes
To highlight the clinical presentation, diagnostic challenges, and management of Complete Androgen Insensitivity Syndrome ...
Endocrine
comment
0
thumb_up
0
Isovitexin, a natural adiponectin agonist, prevents glucocorticoid-induced osteosarcopenia
Isovitexin is an agonist of adiponectin receptors (AdipoRs). Adiponectin has been shown to have beneficial effects on bone...
Endocrine
comment
0
thumb_up
0
Vitamin D deficiency in relation to different phenotypes of prediabetes: a population-based study
Vitamin D deficiency is implicated in the development of prediabetes. However, it is unclear whether vitamin D deficiency ...
Endocrine
comment
0
thumb_up
0
An in-depth exploration of the catecholamine and dyslipidemia relationship in pheochromocytoma and paraganglioma patients: a large Chinese cohort study
The aim is to investigate the relationship between catecholamine levels and dyslipidemia in pheochromocytoma and paragangl...
Endocrine
comment
0
thumb_up
0
A high-fat diet suppresses growth hormone synthesis and secretion by influencing the Vit D receptor and Pit1
A long-term high-fat diet (HFD) leads to excessive lipid deposition, which may cause many diseases, including NAFLD, diabe...
Endocrine
comment
0
thumb_up
0
Parathyroid weight estimation: beyond ellipsoid volume
Parathyroid weight is a simple, robust functional status indicator and cornerstone of gross/intraoperative assessment, tho...
Endocrine
comment
0
thumb_up
0
Interobserver agreement between artificial intelligence models in the thyroid imaging and reporting data system (TIRADS) assessment of thyroid nodules
As ultrasound (US) is the most accurate tool for assessing the thyroid nodule (TN) risk of malignancy (RoM), international...
Endocrine
comment
0
thumb_up
0
Incidence of glucose intolerance and risk factors in patients with gestational diabetes mellitus one year postpartum: a systematic review and meta-analysis
The purpose of this study is to explore the incidence and risk factors of glucose intolerance within one year postpartum i...
Endocrine
comment
0
thumb_up
0
Association of fibrinogen/albumin ratio and Castelli risk index 2 (CRI-2=LDL-C/HDL-C) with severity of coronary artery lesions in different glucose metabolism states
The fibrinogen to albumin ratio (FAR) is a novel inflammatory indicator correlating with the severity of coronary artery d...
Endocrine
comment
0
thumb_up
0
Load More
Modal title
×
Modal title
×
Share
Login
Global News and Health Forum
Join Now!
Member Login
Remember me
Forgot password?
Or using
Linkedin