×
Close
Login
Home
SCI Abstract
Library D
Community
Events
Events & Partner
WeMed
Media Partners
Educational Partner
User Tools
FAQ/USER GUIDE
Language
English
中文/ Chinese
Contact Us
×
Close
mdla_1
mdla_2
mdla_3
mdla_4
mdla_5
mdla_6
Categories
Toxicology
4130
Global Medical University
4768
Allergy
1661
Anatomy & Morphology
1532
Andrology
379
Anesthesia & Intensive Care
1178
Anesthesiology
5045
Audiology & Speech-Language Pathology
318
Behavioral Sciences
104
Biochemical Research Methods
6611
Biochemistry & Molecular Biology
28013
Biodiversity Conservation
290
Biology
7876
Biophysics
7515
Biotechnology & Applied Microbiology
7888
Cardiac & Cardiovascular Systems
29203
Cardiovascular & Respiratory Systems
1315
Cell & Tissue Engineering
649
Cell Biology
10697
Chemistry, Analytical
4091
Chemistry, Applied
10199
Chemistry, Medicinal
8308
Chemistry, Multidisciplinary
17738
Clinical Immunology & Infectious Disease
364
Clinical Medicine
8627
Clinical Neurology
15464
Clinical Psychology & Psychiatry
1144
Critical Care Medicine
2910
Dentistry, Oral Surgery & Medicine
12594
Dermatology
7209
Developmental Biology
6617
Ecology
613
Education, Scientific Disciplines
1899
Emergency Medicine
3748
Endocrinology, Metabolism & Nutrition
22445
Engineering, Biomedical
3530
Entomology
433
Environmental Medicine & Public Health
4406
Evolutionary Biology
251
Gastroenterology & Hepatology
11195
General & Internal Medicine
6485
Genetics & Heredity
14029
Geriatrics & Gerontology
4663
Gerontology
344
Health Care Sciences & Services
15040
Health Policy & Services
617
Hematology
5284
Immunology
23232
Infectious Diseases
13100
Integrative & Complementary Medicine
2731
Medical Ethics
1147
Medical Informatics
2094
Medical Laboratory Technology
419
Medicine, General & Internal
42212
Medicine, Legal
466
Medicine, Research & Experimental
16570
Microbiology
21813
Mycology
0
Nanoscience & Nanotechnology
4932
Neuroimaging
1251
Neurology
4181
Neurosciences
36934
Nursing
8992
Nutrition & Dietetics
7527
Obstetrics & Gynecology
7726
Oncology
49079
Ophthalmology
8984
Optics
3953
Orthopedics
10928
Orthopedics, Rehabilitation & Sports Medicine
1643
Otolaryngology
1478
Otorhinolaryngology
4593
Parasitology
1025
Pathology
4704
Pediatrics
19940
Peripheral Vascular Disease
4384
Pharmacology & Pharmacy
32763
Pharmacology/Toxicology
11380
Physiology
8317
Polymer Science
503
Primary Health Care
781
Psychiatry
17648
Psychology
4901
Psychology, Applied
86
Psychology, Biological
327
Psychology, Clinical
740
Psychology, Developmental
235
Psychology, Educational
137
Psychology, Experimental
141
Psychology, Mathematical
0
Psychology, Multidisciplinary
1576
Psychology, Psychoanalysis
30
Psychology, Social
112
Public Health & Health Care Science
2098
Public, Environmental & Occupational Health
25604
Quantum Science & Technology
0
Radiology, Nuclear Medicine & Imaging
11585
Radiology, Nuclear Medicine & Medical Imaging
7619
Rehabilitation
2849
Remote Sensing
0
Reproductive Biology
2560
Reproductive Medicine
1145
Research/Laboratory Medicine & Medical Technology
3718
Respiratory System
6846
Rheumatology
5475
Social Sciences, Biomedical
1124
Substance Abuse
2605
Surgery
31237
Transplantation
920
Tropical Medicine
272
Urology & Nephrology
11920
Veterinary Sciences
35
Virology
2373
Zoology
0
Channels
INFLAMMOPHARMACOLOGY
510
Medrxiv - Toxicology
70
ARCHIVES OF TOXICOLOGY
489
CELL BIOLOGY AND TOXICOLOGY
296
DNA REPAIR
273
INTEGRATED ENVIRONMENTAL ASSESSMENT AND MANAGEMENT
145
JOURNAL OF APPLIED TOXICOLOGY
176
JOURNAL OF EXPOSURE SCIENCE AND ENVIRONMENTAL EPIDEMIOLOGY
266
REPRODUCTIVE TOXICOLOGY
1
TOXINS
1201
ENVIRONMENTAL AND MOLECULAR MUTAGENESIS
21
NEUROTOXICOLOGY AND TERATOLOGY
0
TOXICOLOGIC PATHOLOGY
45
TOXICOLOGY AND INDUSTRIAL HEALTH
43
TOXICOLOGY REPORTS
457
TOXICOLOGICAL RESEARCH
56
JOURNAL OF XENOBIOTICS
41
REVIEWS OF ENVIRONMENTAL CONTAMINATION AND TOXICOLOGY
40
SCI Abstract
search
ALL
RECOMMENDED
+
Targeting protein kinase C signaling cascades in alzheimer’s disease: emerging neuroprotective roles of aurothioglucose
Protein Kinase C (PKC), a zinc-dependent signaling enzyme pivotal for neuronal survival and synaptic plasticity, has emerg...
Inflammopharmacology
comment
0
thumb_up
0
Inhibitor of hyaluronic acid synthesis 4-methylumbelliferone (4-MU) as a potential anti-inflammatory substance in acute neuroinflammation model in vivo
Cytokine and oxylipin profiles in rat brain homogenates were characterized as an inflammatory response 6 h after ...
Inflammopharmacology
comment
0
thumb_up
0
Anti-arthritic appraisal of L. extracts in complete Freund’s adjuvant‑induced arthritic Wistar rats regulating inflammatory cytokines and OPG/RANKL pathway
Acorus calamus L. is a traditional remedy for inflammatory, neurological, and gastrointestinal disorders. Herein, we explo...
Inflammopharmacology
comment
0
thumb_up
0
Dual anti-inflammatory and immunomodulatory effects of clove essential oil and eugenol: targeting neutrophil functions and experimental arthritis
Polymorphonuclear neutrophils (PMNs) contribute to the pathogenesis of arthritis by releasing excessive reactive oxygen sp...
Inflammopharmacology
comment
0
thumb_up
0
Unveiling phytoconstituents and the anti-inflammatory potential of L. in ulcerative colitis: A focus on the PPARγ/SIRT1 axis
Crassula species are traditionally used and possess anti-inflammatory properties, but Crassula tetragona L. remains largel...
Inflammopharmacology
comment
0
thumb_up
0
Neuroprotective effects of SRS11-92 against oxidative stress–induced senescence via Nrf2/HO-1/NF-κB in Alzheimer’s disease models
Oxidative stress, neuroinflammation, and cellular senescence interact to drive Alzheimer’s disease (AD) progression....
Inflammopharmacology
comment
0
thumb_up
0
Stigmasterol attenuates nociplastic pain and fatigue-like symptoms in a reserpine-induced fibromyalgia model in mice
Fibromyalgia is a widespread painful condition prevalent in women. The main manifestations include spontaneous pain, mecha...
Inflammopharmacology
comment
0
thumb_up
0
Molecular mechanisms and risk factors in rheumatoid arthritis: a comprehensive review
Rheumatoid arthritis is a chronic systemic inflammatory disease that predominantly affects synovial joints, resulting in p...
Inflammopharmacology
comment
0
thumb_up
0
Phytochemicals and nanoformulation strategies for rheumatoid arthritis: mechanistic insights, therapeutic advances, and translational challenges
Rheumatoid arthritis (RA) is a chronic, progressive autoimmune disease characterized by persistent joint inflammation, car...
Inflammopharmacology
comment
0
thumb_up
0
Pulmonary fibrosis in post-COVID-19: epithelial-mesenchymal transition as a key mechanism and target for therapy
Pulmonary fibrosis is a serious threat to global health, especially in after math of covid-19 infection, eventually result...
Inflammopharmacology
comment
0
thumb_up
0
Neuroprotective mechanism of syringic acid targeting oxidative damage and neuroinflammation in an experimental model of traumatic brain injury
Traumatic brain injury (TBI) is a complex neurological condition, with accumulating evidence highlighting the critical rol...
Inflammopharmacology
comment
0
thumb_up
0
Targeting gasdermin D–mediated pyroptosis: a precision anti-inflammatory strategy for acute and chronic lung diseases
Gasdermin D (GSDMD) is currently considered the major effector of pyroptosis, a lytic proinflammatory programmed cell deat...
Inflammopharmacology
comment
0
thumb_up
0
Heightened anti-inflammatory and antioxidant effects of bone marrow stem cell-conditioned media with mono and doped TiO nanoparticles in Carrageenan-induced inflammation
Inflammation and oxidative stress are key mediators of tissue damage in numerous pathological conditions. This study inves...
Inflammopharmacology
comment
0
thumb_up
0
Fluvoxamine attenuates inflammation in experimental sepsis via novel non-canonical pathways
Sepsis is characterized by a dysregulated systemic inflammatory response to infection and remains a major global health ch...
Inflammopharmacology
comment
0
thumb_up
0
Effect of Quercetin on inflammatory markers in diabetes mellitus: a systematic review and meta-analysis of animal studies
Diabetes mellitus (DM) is associated with severe complications driven by chronic inflammation, which releases cytokines, c...
Inflammopharmacology
comment
0
thumb_up
0
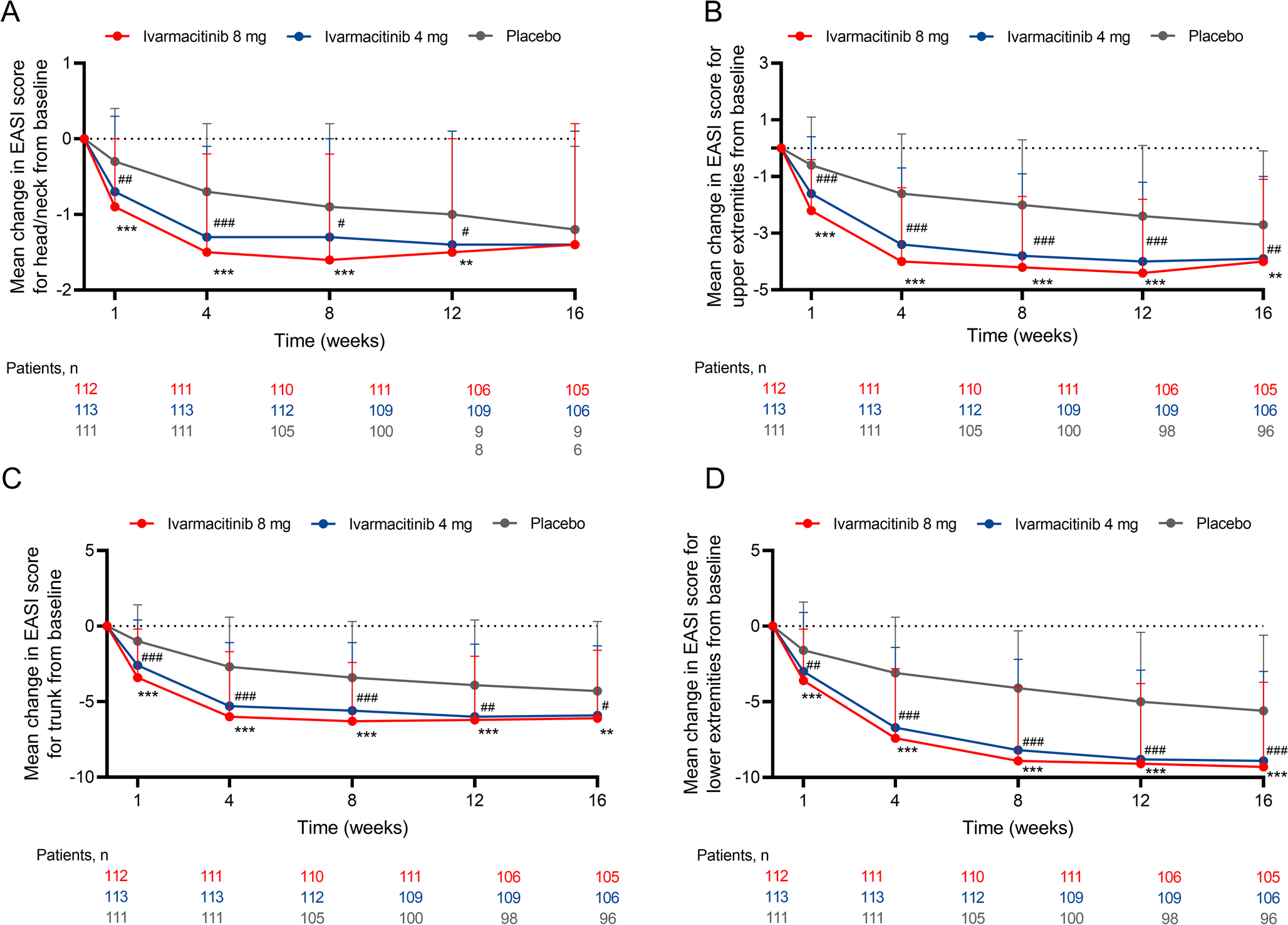
Ivarmacitinib provides rapid and continuous improvement in patients with moderate-to-severe atopic dermatitis: a focus on different anatomical regions
Ivarmacitinib (SHR0302) has demonstrated promising efficacy and safety profiles in patients with moderate-to-severe atopic...
Inflammopharmacology
comment
0
thumb_up
0
A systematic review of therapeutic and paradoxical roles of tumor necrosis factor α inhibitors in autoimmune blistering diseases
Autoimmune blistering diseases (AIBDs), including pemphigus diseases, pemphigoid diseases, linear immunoglobulin A (IgA) b...
Inflammopharmacology
comment
0
thumb_up
0
The neuroprotective potential of in a neuronal demyelination rat model through the modulation of interleukins, cyclooxygenase and tumor necrosis factor-α
Multiple sclerosis is characterized by the demyelination of neurons, which is a chronic inflammatory disease of the centra...
Inflammopharmacology
comment
0
thumb_up
0
From bench to bedside: exploring curcumin-driven signaling pathways in immune cells for cancer management
The use of natural compounds as effective therapeutic agents is an expanding area of health and disease research. Curcumin...
Inflammopharmacology
comment
0
thumb_up
0
Gut microbiota and Parkinson’s Disease: a new frontier in understanding neurological health
Increasingly recognized as a neurodegenerative disease with motor manifestations and progressive cognitive decline, PD has...
Inflammopharmacology
comment
0
thumb_up
0
The presumable combined effects of hydroxychloroquine and its metabolites on the blood lipids and glucose in the treatment of rheumatoid arthritis
To explore the potential combined effects of hydroxycholoroquine (HCQ) and its metabolites on blood lipids and glucose in ...
Inflammopharmacology
comment
0
thumb_up
0
Can pyridoxine function as an anti-pyroptosis agent? A narrative review
Pyroptosis, a highly inflammatory form of programmed cell death, plays a key role in diseases such as sepsis, rheumatoid a...
Inflammopharmacology
comment
0
thumb_up
0
Phytochemical analysis of leaf extract of and investigation of its biological activities
This study investigates the phytoconstituents of the less explored leaf of Piper nigrum, a common ethnomedicinal plant as ...
Inflammopharmacology
comment
0
thumb_up
0
The role of Ergothioneine in cognition and age-related neurodegenerative disease: a systematic review
Ergothioneine (ET) is an under recognised diet-derived compound which has the potential to be a “longevity vitamin...
Inflammopharmacology
comment
0
thumb_up
0
Deciphering the role of cell signaling pathways in gout pathogenesis and the therapeutic potential of phytoconstituents in their modulation
Gout, a type of inflammatory arthritis, arises from the accumulation of monosodium urate crystals in joints, leading to se...
Inflammopharmacology
comment
0
thumb_up
0
Impact of corticoid receptors on Alzheimer’s disease: a neuroendocrine perspective
Alzheimer's disease (AD) is a progressive neurodegenerative disorder that has been strongly associated with changes in...
Inflammopharmacology
comment
0
thumb_up
0
Exploring the therapeutic potential of NLRP3 inhibitors in Parkinson's Disease: a systematic review of in-vivo studies
Parkinson's disease is a progressive neurodegenerative disorder characterized by motor symptoms such as tremors, rigid...
Inflammopharmacology
comment
0
thumb_up
0
Ocimene mitigates pyroptosis through TLR4/NLRP3-mediated mechanisms in CFA-induced inflammation
The monocyclic monoterpenoid ocimene (OC) has undergone pharmacological testing as a possible inhibitor of pyroptosis trig...
Inflammopharmacology
comment
0
thumb_up
0
Voclosporin promotes neurological function recovery by inhibiting inflammation and maintaining blood–brain barrier integrity following rtPA reperfusion after MCAO in mice
Hemorrhagic transformation (HT) is the most serious complication after rtPA thrombolytic therapy in patients with acute is...
Inflammopharmacology
comment
0
thumb_up
0
Tetrylpyamethrazine alleviates hepatic fibrosis induced by experimental mansonic schistosomiasis
Hepatic fibrosis resulting from human mansonic schistosomiasis significantly impairs liver function and contributes substa...
Inflammopharmacology
comment
0
thumb_up
0
Load More
Modal title
×
Modal title
×
Share
Login
Global News and Health Forum
Join Now!
Member Login
Remember me
Forgot password?
Or using
Linkedin