×
Close
Login
Home
SCI Abstract
Library D
Events & Partner
WeMed
MDLA Events Platform
Events
Media Partners
Educational Partner
User Tools
FAQ/USER GUIDE
Language
English
中文/ Chinese
French
Português
Español
Arabic
Russian
Contact Us
×
Close
mdla_1
mdla_2
mdla_3
mdla_4
mdla_5
mdla_6
Categories
Social Sciences, Biomedical
1150
Global Medical University
4983
Allergy
1699
Anatomy & Morphology
1528
Andrology
379
Anesthesia & Intensive Care
1224
Anesthesiology
5240
Audiology & Speech-Language Pathology
311
Behavioral Sciences
104
Biochemical Research Methods
6740
Biochemistry & Molecular Biology
28859
Biodiversity Conservation
294
Biology
8107
Biophysics
7956
Biotechnology & Applied Microbiology
8053
Cardiac & Cardiovascular Systems
30112
Cardiovascular & Respiratory Systems
1348
Cell & Tissue Engineering
664
Cell Biology
10762
Chemistry, Analytical
4154
Chemistry, Applied
10754
Chemistry, Medicinal
8448
Chemistry, Multidisciplinary
18249
Clinical Immunology & Infectious Disease
397
Clinical Medicine
8736
Clinical Neurology
15936
Clinical Psychology & Psychiatry
1251
Critical Care Medicine
3057
Dentistry, Oral Surgery & Medicine
12739
Dermatology
7353
Developmental Biology
6790
Ecology
631
Education, Scientific Disciplines
1919
Emergency Medicine
3858
Endocrinology, Metabolism & Nutrition
23207
Engineering, Biomedical
3585
Entomology
445
Environmental Medicine & Public Health
4578
Evolutionary Biology
252
Gastroenterology & Hepatology
11541
General & Internal Medicine
6783
Genetics & Heredity
14556
Geriatrics & Gerontology
4845
Gerontology
338
Health Care Sciences & Services
15479
Health Policy & Services
613
Hematology
5371
Immunology
24181
Infectious Diseases
13438
Integrative & Complementary Medicine
2805
Medical Ethics
1194
Medical Informatics
2139
Medical Laboratory Technology
419
Medicine, General & Internal
43503
Medicine, Legal
485
Medicine, Research & Experimental
17190
Microbiology
22533
Mycology
0
Nanoscience & Nanotechnology
5019
Neuroimaging
1248
Neurology
4363
Neurosciences
38345
Nursing
9258
Nutrition & Dietetics
7660
Obstetrics & Gynecology
7932
Oncology
50751
Ophthalmology
9334
Optics
4072
Orthopedics
11209
Orthopedics, Rehabilitation & Sports Medicine
1702
Otolaryngology
1490
Otorhinolaryngology
4683
Parasitology
1066
Pathology
4781
Pediatrics
20799
Peripheral Vascular Disease
4510
Pharmacology & Pharmacy
33681
Pharmacology/Toxicology
11854
Physiology
8669
Polymer Science
511
Primary Health Care
791
Psychiatry
18467
Psychology
5005
Psychology, Applied
92
Psychology, Biological
329
Psychology, Clinical
786
Psychology, Developmental
228
Psychology, Educational
143
Psychology, Experimental
133
Psychology, Mathematical
0
Psychology, Multidisciplinary
1576
Psychology, Psychoanalysis
30
Psychology, Social
112
Public Health & Health Care Science
2167
Public, Environmental & Occupational Health
26484
Quantum Science & Technology
0
Radiology, Nuclear Medicine & Imaging
11918
Radiology, Nuclear Medicine & Medical Imaging
7746
Rehabilitation
2873
Remote Sensing
0
Reproductive Biology
2697
Reproductive Medicine
1178
Research/Laboratory Medicine & Medical Technology
3841
Respiratory System
6995
Rheumatology
5660
Substance Abuse
2647
Surgery
32537
Toxicology
4177
Transplantation
931
Tropical Medicine
300
Urology & Nephrology
12420
Veterinary Sciences
35
Virology
2369
Zoology
0
Channels
JOURNAL OF CANCER SURVIVORSHIP
431
JOURNAL OF SPORT AND HEALTH SCIENCE
308
JOURNAL OF THE AMERICAN GERIATRICS SOCIETY
358
LANCET PUBLIC HEALTH
18
BRITISH JOURNAL FOR THE PHILOSOPHY OF SCIENCE
35
SCI Abstract
search
ALL
RECOMMENDED
+
Why do children with cancer withdraw from social interactions? A qualitative study using the COM-B model
Guided by the COM-B model (“capability,” “opportunity,” “motivation,” and “behav...
Journal Of Cancer Survivorship
comment
0
thumb_up
0
Cancer-related cognitive impairment: a review of National Institutes of Health‑Funded grants (2017–2024)
Cancer-related cognitive impairment (CRCI) adversely affects cancer survivors’ academic, occupational, and psychosoc...
Journal Of Cancer Survivorship
comment
0
thumb_up
0
Associations of adherence to the World Cancer Research Fund lifestyle recommendations with health-related quality of life and fatigue in Adolescent and Young Adult (AYA) cancer survivors: results from the SURVAYA study
Adolescents and young adults (AYAs) with cancer face unique long-term social and health challenges that impact their healt...
Journal Of Cancer Survivorship
comment
0
thumb_up
0
Clinical and social determinants of survivorship clinic attendance in head and neck cancer
Despite its importance, little is known about the patterns and predictors of Survivorship Clinic attendance in head and ne...
Journal Of Cancer Survivorship
comment
0
thumb_up
0
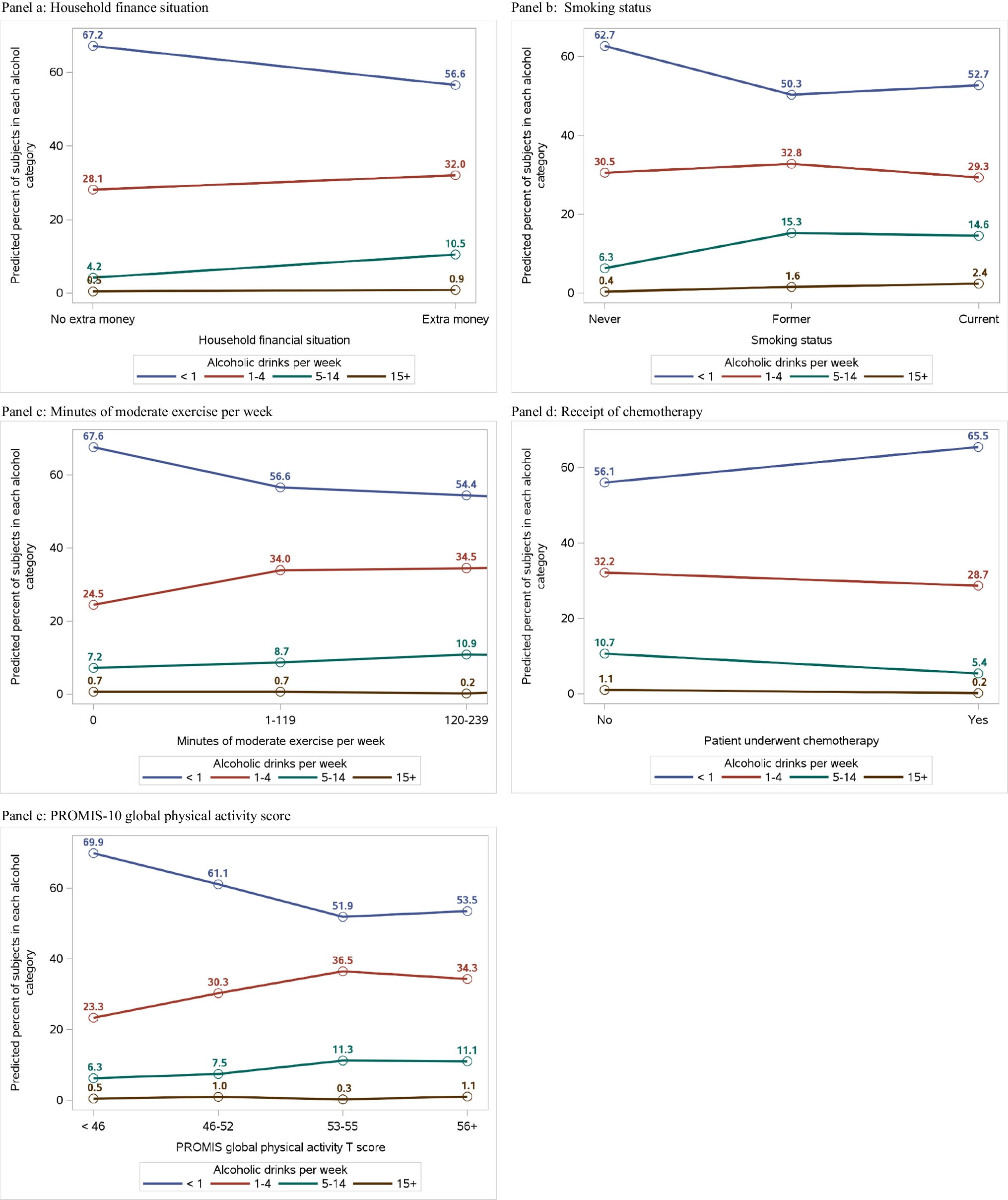
Factors associated with and patterns of alcohol intake during the first year of breast cancer survivorship
To evaluate alcohol intake patterns, and identify factors associated with alcohol use in early survivorship among breast c...
Journal Of Cancer Survivorship
comment
0
thumb_up
0
Prevalence and characteristics of neuropathic pain in adolescent survivors of childhood cancer
Neuropathic pain (NP) in individuals with cancer can arise from the cancer itself or its treatments. The prevalence of NP ...
Journal Of Cancer Survivorship
comment
0
thumb_up
0
The long shadow of family-internal and -external adverse childhood experiences: associations with mental functioning in middle-aged and older cancer survivors
Middle-aged and older cancer survivors, who face both age-related and cancer-related stressors, are particularly vulnerabl...
Journal Of Cancer Survivorship
comment
0
thumb_up
0
Perceived control of illness and social support predict subsequent fear of cancer recurrence in adults with cancer
This study tested the association of perceived control of disease with subsequent fear of cancer recurrence (FCR) among ad...
Journal Of Cancer Survivorship
comment
0
thumb_up
0
Psychosocial intervention to improve sleep, psychological adjustment, and quality of life in gastric cancer patients undergoing gastrectomy: a randomized controlled trial
Sleep disturbance, psychological distress, and impaired quality of life are prevalent in gastric cancer patients after gas...
Journal Of Cancer Survivorship
comment
0
thumb_up
0
Socioeconomic position and access to supportive cancer care in Europe: a scoping review of literature from 2000 to 2024
Cancer prevalence is steadily rising in Europe. Many survivors experience symptoms and late effects that require managemen...
Journal Of Cancer Survivorship
comment
0
thumb_up
0
Predictors of long-term follow-up clinic attendance and continued engagement among survivors of cancer in childhood and adolescence
Survivorship care is vital to screen for and manage late effects, yet follow-up remains suboptimal. We examined factors as...
Journal Of Cancer Survivorship
comment
0
thumb_up
0
Community readiness and feasibility of the Exercising Together program for cancer dyads in underserved Oregon counties
Rural cancer survivors living with poverty and their partners have poorer health outcomes than their urban-dwelling counte...
Journal Of Cancer Survivorship
comment
0
thumb_up
0
Long-term quality of life in head and neck cancer: the role of postdiagnosis smoking behavior
Head and neck squamous cell carcinoma (HNSCC) significantly impacts patients’ quality of life (QoL). This study inve...
Journal Of Cancer Survivorship
comment
0
thumb_up
0
Weight change and diabetes risk following breast cancer: a nationwide cohort study
Breast cancer survivors (BCS) are at an increased risk of diabetes and frequently experience weight gain post-diagnosis. T...
Journal Of Cancer Survivorship
comment
0
thumb_up
0
Physical activity barriers, facilitators, and preferences in primary and tertiary prevention of breast cancer: a French national observational study
The benefits of physical activity are widely recognized in primary and tertiary breast cancer prevention. Most women do no...
Journal Of Cancer Survivorship
comment
0
thumb_up
0
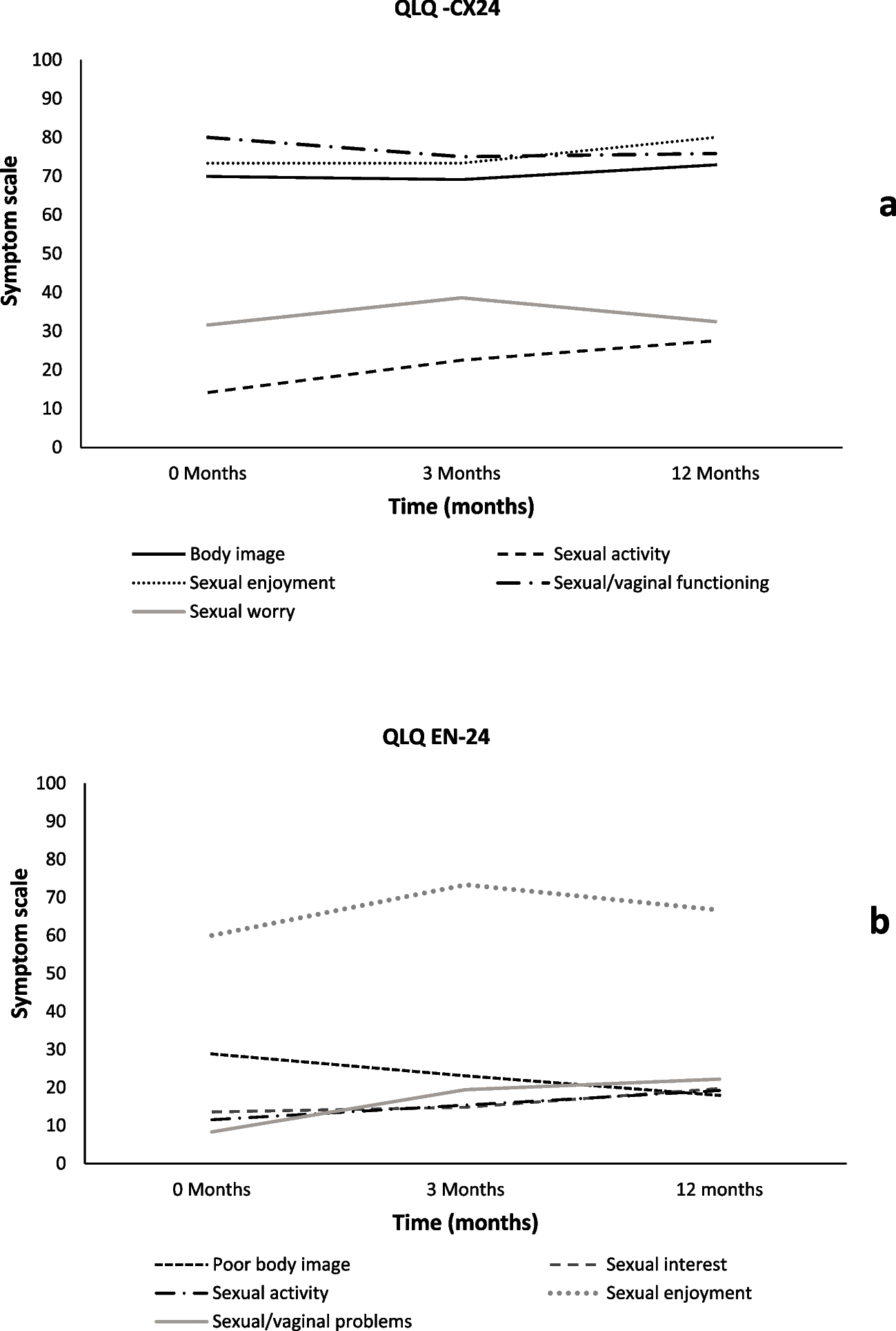
Sexual symptoms in relation to curative pelvic radiotherapy in gynecological cancer patients
Pelvic radiotherapy (RT) causes tissue injury which could lead to vaginal problems including dryness, shortening, and tigh...
Journal Of Cancer Survivorship
comment
0
thumb_up
0
Relationship between incident cardiovascular disease and quality of life after a breast cancer diagnosis
Breast cancer survivors are at risk for both poor quality of life (QoL) and cardiovascular disease (CVD). This study exami...
Journal Of Cancer Survivorship
comment
0
thumb_up
0
A qualitative study on the psycho-oncological experiences of women navigating breast cancer diagnosis, treatment, and survivorship in Ethiopia
To understand the lived experiences of Ethiopian women who self-identify as breast cancer survivors, particularly facilita...
Journal Of Cancer Survivorship
comment
0
thumb_up
0
Supportive care needs among head and neck cancer patients in the recovery phase from 6 months to 2 years after treatment: which factors matter?
To investigate which demographic, personal, clinical, physical, psychological, social, lifestyle, and cancer-related quali...
Journal Of Cancer Survivorship
comment
0
thumb_up
0
The lived experience of active surveillance for prostate cancer: a systematic review and meta-synthesis
Prostate cancer is one of the most prevalent cancers worldwide. Active surveillance is a widely accepted treatment option ...
Journal Of Cancer Survivorship
comment
0
thumb_up
0
Differences in experiences of patients with advanced cancer in Japan from 3 to 6 years after diagnosis
Coping with cancer presents significant challenges, especially for those with advanced-stage and long-term survival. Howev...
Journal Of Cancer Survivorship
comment
0
thumb_up
0
Enhancing survivorship care among Hispanic/Latino cancer survivors via lay health educators: results of a pilot randomized trial
Assess the feasibility, acceptability, and preliminary efficacy of lay health educators to enhance Hispanic/Latino survivo...
Journal Of Cancer Survivorship
comment
0
thumb_up
0
Changes in chemotherapy-induced cognitive impairment in gastrointestinal cancer survivors using multidomain assessments: a prospective cohort study
Risk factors for cancer-related cognitive impairment (CRCI) are diverse; neuroimaging instruments are recommended to compl...
Journal Of Cancer Survivorship
comment
0
thumb_up
0
Impact of chemotherapy-induced peripheral neuropathy on physical function in pediatric cancer survivors: a systematic review
The majority of children, adolescents, and young adults treated with neurotoxic chemotherapy experience chemotherapy-induc...
Journal Of Cancer Survivorship
comment
0
thumb_up
0
Applied theory of planned behavior to explore associated factor of physical activity level among Chinese childhood cancer survivors
Low physical activity (PA) levels are common among childhood cancer survivors (CCS) and have a serious negative impact on ...
Journal Of Cancer Survivorship
comment
0
thumb_up
0
Structural equation modeling to explore putative causal factors for chronic fatigue in childhood cancer survivors: a DCCSS LATER study
To explore putative causal relations for chronic fatigue (CF) in childhood cancer survivors (CCS) using structural equatio...
Journal Of Cancer Survivorship
comment
0
thumb_up
0
What does an AI-generated “cancer survivor” look like? An analysis of images generated by text-to-image tools
Cancer survivorship begins at diagnosis and encompasses a wide variety of experiences, yet prominent societal narratives o...
Journal Of Cancer Survivorship
comment
0
thumb_up
0
Organizing substitution of oncological follow-up to primary care: perspectives from secondary care providers
The increasing number of cancer survivors has heightened demands on hospital-based follow-up care resources. To address th...
Journal Of Cancer Survivorship
comment
0
thumb_up
0
Strategies to improve participation in exercise programmes during chemotherapy: a modified nominal group technique
Exercise can help people manage many of the side effects of chemotherapy treatment. Clear guidelines exist outlining the b...
Journal Of Cancer Survivorship
comment
0
thumb_up
0
The effects of exercise interventions on fatigue, body composition, physical fitness, and biomarkers in breast cancer patients during and after treatment: a systematic review and meta-analysis of randomized controlled trials
Breast cancer is the leading cancer type among women, accounting for 24.5% of female cancer cases worldwide. The purpose o...
Journal Of Cancer Survivorship
comment
0
thumb_up
0
Load More
Modal title
×
Modal title
×
Share
Login
Global News and Health Forum
Join Now!
Member Login
Remember me
Forgot password?
Or using
Linkedin